C8H10N4O2 Posté(e) le 22 octobre 2019 Signaler Posté(e) le 22 octobre 2019 Bonjour à tous ! Pour deux réels a et b , on a : Mais qu'en est-il pour deux vecteurs et ? Est-il correct d'écrire : ?
E-Bahut pzorba75 Posté(e) le 22 octobre 2019 E-Bahut Signaler Posté(e) le 22 octobre 2019 Avec des vecteurs, il s'agit de la norme du vecteur.
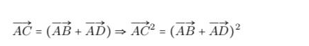
C8H10N4O2 Posté(e) le 22 octobre 2019 Auteur Signaler Posté(e) le 22 octobre 2019 Il y a 1 heure, Barbidoux a dit : Merci mais alors par exemple dans cet exercice trouvé sur le forum : On ne peut pas écrire pour répondre à la question 2 : Quelle serait alors une écriture convenable ?
E-Bahut julesx Posté(e) le 22 octobre 2019 E-Bahut Signaler Posté(e) le 22 octobre 2019 Je ne vois pas pourquoi on ne pourrait pas écrire cela. On part d'un égalité entre vecteurs, qu'on traduit entre égalités de leurs carrés. Il faut bien voir que l'égalité entre carrés de vecteurs est en fait une égalité entre les produits scalaires des vecteurs par eux-mêmes, dont les résultats sont des scalaires. Comme l'a signalé Barbidoux, plusieurs notations sont possibles, donc écrire le résultat sous la forme d'une longueur de segment au carré est parfaitement licite. De même, en prendre la racine carrée est licite, puisqu'une longueur est forcément positive. Conclusion, pour moi, on peut bien écrire il y a une heure, C8H10N4O2 a dit :
E-Bahut Boltzmann_Solver Posté(e) le 22 octobre 2019 E-Bahut Signaler Posté(e) le 22 octobre 2019 Bonsoir, Une preuve par contre-exemple que c'est faux. Soit A un point du plan. Et C un cercle de centre O et de rayon r > 0. Soient A et B, deux points distincts de C. Ainsi, OA = OB = r. Et donc, vect²(OA) = vect²(OB). Cependant, \vect(OA) \neq \vect{OB} car la direction ou le sens sont différents. Donc, ta proposition est incorrecte.
E-Bahut Barbidoux Posté(e) le 22 octobre 2019 E-Bahut Signaler Posté(e) le 22 octobre 2019 Il y a 1 heure, C8H10N4O2 a dit : Merci mais alors par exemple dans cet exercice trouvé sur le forum : On ne peut pas écrire pour répondre à la question 2 : Quelle serait alors une écriture convenable ?
E-Bahut julesx Posté(e) le 22 octobre 2019 E-Bahut Signaler Posté(e) le 22 octobre 2019 Bonsoir Barbidoux, Exact, j'avais zappé le <=> !
E-Bahut Barbidoux Posté(e) le 22 octobre 2019 E-Bahut Signaler Posté(e) le 22 octobre 2019 -------------------------------------------- Non réponse (illustrée)
E-Bahut Barbidoux Posté(e) le 22 octobre 2019 E-Bahut Signaler Posté(e) le 22 octobre 2019 Il y a 1 heure, julesx a dit : Bonsoir Barbidoux, Exact, j'avais zappé le <=> ! No problem ....« Errare humanum est » surtout lorsque " Le diable est dans les détails…." ( Nietzsche)
C8H10N4O2 Posté(e) le 23 octobre 2019 Auteur Signaler Posté(e) le 23 octobre 2019 Merci à tous pour vos réponses ! Mais alors je repose ma question : quelle serait une manière correcte de répondre à la question 2 (trouver AC) ici : D'après moi, on ne peut pas se contenter d'écrire et de poursuivre le raisonnement à partir de là car on cherche une équivalence entre les deux expressions et non une simple implication (comme on ne peut pas baser un raisonnement sur a=b --> a2 = b2 , car la première égalité implique l'autre, mais cela ne signifie pas que les deux ont les mêmes solutions). Est-ce que serait plus correct ?
Messages recommandés
Archivé
Ce sujet est désormais archivé et ne peut plus recevoir de nouvelles réponses.