Dan-nul-maths Posté(e) le 27 octobre 2017 Signaler Posté(e) le 27 octobre 2017 Bonjour tout le monde Pour l'instant je suis bloquée à la question 3 de l'exercice 1 Et aux questions 2 et 3 de l'exercice 2 Merci de vos réponses D'accord je vais voir la où sa cloche volcano 47 DM1 chapitre 1.odt
E-Bahut Barbidoux Posté(e) le 27 octobre 2017 E-Bahut Signaler Posté(e) le 27 octobre 2017 Type de fichier non universel, non lisible par moi. Il te faut soit frapper au clavier le texte de ton énoncé soit joindre des fichiers lisibles par tous (Format texte, PDF ou Jpg ou Tiff.... par exemple)
E-Bahut Denis CAMUS Posté(e) le 27 octobre 2017 E-Bahut Signaler Posté(e) le 27 octobre 2017 DM1 chapitre 1-3.pdf
Dan-nul-maths Posté(e) le 27 octobre 2017 Auteur Signaler Posté(e) le 27 octobre 2017 Il y a 4 heures, volcano47 a dit : c'est illisible, il y a une ligne par page D'accord je vais voir la où sa cloche volcano 47 il y a 52 minutes, Denis CAMUS a dit : DM1 chapitre 1-3.pdf Merci Denis Pour avoir mis le fichier dans le bond format DM1 chapitre 1-3.pdf
E-Bahut PAVE Posté(e) le 27 octobre 2017 E-Bahut Signaler Posté(e) le 27 octobre 2017 Bonjour à tous, 1) Conseils préliminaires : Tu ne devrais pas mettre en ligne ton devoir complet. Poste un exercice par message... 3 exercices donc 3 messages !! Tu auras ainsi plus de chance d'avoir des intervenants divers... Et surtout pour chacun des exercices dis nous ce que tu as fait ou essayé de faire ; ainsi on verra que tu as bien cherché des solutions et surtout à travers tes erreurs, nous , on verra mieux où se situe ton problème. 2) Je prends en charge ton exercice 1 : Tu as fait les questions 1 et 2 ! très bien mais tu n'as a pas eu grand mérite puisque les réponses étaient données par l'énoncé J'espère que tu as vu que l'expression E(x) telle qu'elle t'est donnée est sous une forme "intermédiaire" entre sa forme développée B et sa forme factorisée C. E(x) est un polynôme du second degré. Pour la question 3) si ton problème est de choisir la forme la mieux adaptée, je te suggère de faire avec les 3 formes et de choisir a postériori celle qui a permis d'arriver le plus simplement à la solution. Par exemple pour E(x) = 3, tu résous (enfin tu essayes) successivement (x+3)²-25 =3 puis x²+6x-16 = 3 (là cela va être mission impossible si tu n'as pas appris à résoudre les équations du second degré ax²+bx+c = 0 et en principe on voit cela en 1ère) puis (x-2)(x+8) = 3
E-Bahut pzorba75 Posté(e) le 27 octobre 2017 E-Bahut Signaler Posté(e) le 27 octobre 2017 En seconde, certains professeurs montrent comment résoudre (x+3)²-25 =3 en passant par (x+3)^2-28=0<=>(x+3)^2-(2*sqrt(7))^2=0....ensuite niveau 3eme.
Dan-nul-maths Posté(e) le 27 octobre 2017 Auteur Signaler Posté(e) le 27 octobre 2017 Pour l'exercice 2 (x-3)^2+4x (-(x+3)^2) De cette forme j'ai factoriser pour obtenir (x-3 )(4x-1)=0 ce qui me fait une équation produit nul Puis je me suis dis que je ne pouvais pas factoriser directement puisque (x-3) Et (-x+3) son au carré voilà pourquoi cet exercices me bloque Pour le dernier avec les racines j'ai vu la troisième identité remarquable mais arrivé à un niveau les racines m'embrouille
Dan-nul-maths Posté(e) le 27 octobre 2017 Auteur Signaler Posté(e) le 27 octobre 2017 Le 27/10/2017 à 16:20, PAVE a dit : Pour la question 3) si ton problème est de choisir la forme la mieux adaptée, je te suggère de faire avec les 3 formes et de choisir a postériori celle qui a permis d'arriver le plus simplement à la solution. Par exemple pour E(x) = 3, tu résous (enfin tu essayes) successivement (x+3)²-25 =3 puis x²+6x-16 = 3 (là cela va être mission impossible si tu n'as pas appris à résoudre les équations du second degré ax²+bx+c = 0 et en principe on voit cela en 1ère) puis (x-2)(x+8) = 3 J'ai déjà essayé pour chacune des 3 formes et les résultats que j'ai trouvé ne vérifiait pas l'équation Le 27/10/2017 à 17:16, pzorba75 a dit : En seconde, certains professeurs montrent comment résoudre (x+3)²-25 =3 en passant par (x+3)^2-28=0<=>(x+3)^2-(2*sqrt(7))^2=0....ensuite niveau 3eme. J'ai essayé de cette façon mais les racines me bloque
E-Bahut PAVE Posté(e) le 27 octobre 2017 E-Bahut Signaler Posté(e) le 27 octobre 2017 Citation J'ai déjà essayé pour chacune des 3 formes et les résultats que j'ai trouvé ne vérifiait pas l'équation Montre nous l'un de ces calculs ... le premier de préférence (Relis au passage le message de Pzorba)
Dan-nul-maths Posté(e) le 27 octobre 2017 Auteur Signaler Posté(e) le 27 octobre 2017 Arrivé à cette étape je suis bloquée je ne sais pas comment soustraire des racines
E-Bahut PAVE Posté(e) le 27 octobre 2017 E-Bahut Signaler Posté(e) le 27 octobre 2017 Comprends tu pourquoi il vaut mieux ne mettre qu'un SEUL exercice par message...... cela commence à être le bazar !!! Donc exercice 2 question 2, tu écris : Citation Puis je me suis dis que je ne pouvais pas factoriser directement puisque (x-3) Et (-x+3) sonT au carré voilà pourquoi cet exercices me bloque Bon réflexe mais (x-3)² = [-(-x+3)]² ; les carrés de 2 nombres opposé sont égaux. Non ? a² est égal à (-a)²
E-Bahut PAVE Posté(e) le 27 octobre 2017 E-Bahut Signaler Posté(e) le 27 octobre 2017 Exercice 1 question 3 !!!! il y a 5 minutes, Dan-nul-maths a dit : Arrivé à cette étape je suis bloquée je ne sais pas comment soustraire des racines Tu as fait le plus dur... A*B = 0 <==> A= 0 ou B= 0 x+3+2V7 = 0 ou x+3 -2V7 = 0 d'où x = -3-2V7 ou x =..... L'équation a 2 solutions S = {-3-2V7 ; -3+.... A toi de finir. Exercice 2 équation 3 !!!! Citation Pour le dernier avec les racines j'ai vu la troisième identité remarquable mais arrivé à un niveau les racines m'embrouille Puisque tu sais scanner ce que tu as écrit, fais le avec cet exercice. on va voir où cela coince...
Dan-nul-maths Posté(e) le 27 octobre 2017 Auteur Signaler Posté(e) le 27 octobre 2017 Le 27/10/2017 à 18:27, PAVE a dit : Comprends tu pourquoi il vaut mieux ne mettre qu'un SEUL exercice par message...... cela commence à être le bazar !!! C'est bon merci beaucoup je tâcherai de ne mettre qu'un seul exercice par message la prochaine fois je viens de comprendre c'est 2 exercices et je viens de réalisé que je ne sais pas utiliser une calculatrice de lycée
E-Bahut PAVE Posté(e) le 27 octobre 2017 E-Bahut Signaler Posté(e) le 27 octobre 2017 Exercice 2 équation 3 !!!! Citation Pour le dernier avec les racines j'ai vu la troisième identité remarquable mais arrivé à un niveau les racines m'embrouille Puisque tu sais scanner ce que tu as écrit, fais le avec cet exercice. on va voir où cela coince... PS : Pour ces exercices, tu n'as pas besoin d'une calculatrice, me semble-t-il....
Dan-nul-maths Posté(e) le 27 octobre 2017 Auteur Signaler Posté(e) le 27 octobre 2017 Pour cette exercice c'est un peu compliqué de prendre en photo mon cahier puisque j'ai utilisé beaucoup de place Je vais essayer de réécrire cela proprement puis je posterai l'exercice
Dan-nul-maths Posté(e) le 27 octobre 2017 Auteur Signaler Posté(e) le 27 octobre 2017 J'ai vu la 3ème identité remarquable
E-Bahut PAVE Posté(e) le 27 octobre 2017 E-Bahut Signaler Posté(e) le 27 octobre 2017 Ce que tu as déjà écrit est correct.... reste à écrire A= 0 ou B= 0 et à résoudre sans s'embrouiller avec les V pour trouver les 2 solutions... qui sont égales
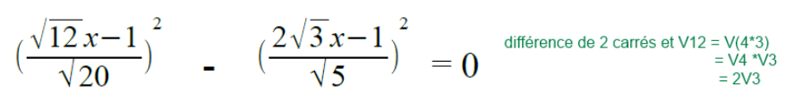
Dan-nul-maths Posté(e) le 27 octobre 2017 Auteur Signaler Posté(e) le 27 octobre 2017 Arrivé à cette étape je bloque Je me demande comment multiplié la racine par x-1
E-Bahut PAVE Posté(e) le 27 octobre 2017 E-Bahut Signaler Posté(e) le 27 octobre 2017 Tu as oublié ce que je t'avais indiqué 2V3 = V12... donc V12 x - 1 est égal à 2V3 x - 1 !! et tu peux finir ton calcul... Mais parce que c'est les vacances et que je trouve que tu te bats bien, je vais te donner un autre cheminement possible pour résoudre Oublie la différence de 2 carrés car les calculs surtout comme tu les as engagés sont galère Tu sais que (A/B)² = (A²) /(B²) d'une part et en remplaçant 2V3 par V12, on obtient : (V12 x -1)² / 20 - (V12 x -1)² /5 = 0 donc je mets (V12 x -1)² en facteur (V12 x -1)² [1/20-1/5] = 0 le crochet est un nombre NON nul donc (V12 x -1)² = 0 or A² = 0 <==> A=0 Je te laisses finir ?
Dan-nul-maths Posté(e) le 27 octobre 2017 Auteur Signaler Posté(e) le 27 octobre 2017 Merci beaucoup pour ton aide mais je ne comprends pas cette partie [1/20-1/5]
E-Bahut PAVE Posté(e) le 27 octobre 2017 E-Bahut Signaler Posté(e) le 27 octobre 2017 Citation je ne comprends pas cette partie [1/20-1/5] (V12 x -1)² / 20 - (V12 x -1)² /5 = 0 [(V12 x -1)² *(1/ 20)] - [(V12 x -1)² *(1/5)]= 0 diviser par 20 c'est multiplier par 1/20 etc. donc je mets (V12 x -1)² en facteur Est ce plus clair ??
Dan-nul-maths Posté(e) le 27 octobre 2017 Auteur Signaler Posté(e) le 27 octobre 2017 Merci Pave c'est plus clair maintenant
E-Bahut PAVE Posté(e) le 27 octobre 2017 E-Bahut Signaler Posté(e) le 27 octobre 2017 On aurait pu poursuivre ce calcul comme tu l'avais commencé (différence de 2 carrés A²-B² = (A-B)(A+B).. regarde comment on peut simplifier l'écriture du facteur A+ B (on peut faire de même avec le facteur A- B) Voilà, choisit la méthode qui te semble la plus compréhensible
Dan-nul-maths Posté(e) le 27 octobre 2017 Auteur Signaler Posté(e) le 27 octobre 2017 Merci beaucoup grâce à vous j'ai réussi à comprendre l'exercice j'avais du mal à comprendre que v12 est un nombre comme un autre
Messages recommandés
Archivé
Ce sujet est désormais archivé et ne peut plus recevoir de nouvelles réponses.