Aller au contenu

Primitives


C8H10N4O2

Messages recommandés

Posté(e)

Bonjour à tous !

Ma question porte sur la manière de déterminer les primitives de image.png.724b936786d4e3a9f59fec29b4e4b163.png .

Mon corrigé donne la solution suivante : étant donné que  image.png.3b5ad39e2f22b01a38e9596ff85904fa.png  et que image.png.c91e9e1138726228eb66f4e3cbf5abe3.png est une primitive de image.png.ed180123cd2df937ced2151f5bf36d46.png , on obtient  

image.png.4e1238d2a0d288f4c1e397692d83b23a.png

 

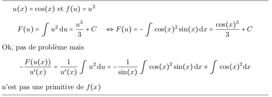
Je suis d'accord avec ce résultat mais j'en ai obtenu un différent par la méthode suivante : soit  image.png.befbb0c9e9654d0d1f097933ef457f19.png  et image.png.b824b76aba1d920116e29e7d23224476.png 

image.png.ff91ffa89ac186002fbb1141aa7779e3.png  est une primitive de image.png.34411b9eb16737d951dade3382d90bfb.png et dès lors,  image.png.cd6df5a7459ce6bc8116b1d30b100e7d.png est une primitive de  image.png.76e54c29f678e9fc22559cfc4da13bc7.png.

J'arrive donc au résultat :  image.png.d78b133e3f70a0f39e537b0fd9a3da78.png

 

L'un(e) d'entre vous saurait-il me dire si mon résultat est valable ou non et le cas échéant comment montrer l'équivalence de ces deux expressions ?

 

Merci d'avance ! :) 

Posté(e)
il y a 54 minutes, anylor a dit :

 

la primitive de u² n'est pas u3/3          ( c'est celle de u' u²)

par contre la primitive de x² est bien x3/3

 

C'est bien la même chose si u est une variable.

Posté(e)
il y a une heure, Barbidoux a dit :

1.jpg.274ae11b694608b7a9a0b685b45d062a.jpg

Je pensais qu'avec F une primitive de f ,  image.png.ac4f8425a0d529221ed30c805c808dac.png était bien une primitive de image.png.b4e1421158bcda860e7211dc90905486.png .

On a bien image.png.d99e053204530ad89a23a8cc25513363.png 

Ce qui veut dire que image.png.82d11c68a7c4c3d22be99a375f980113.png  est une primitive de  image.png.1a13ef2a8b5e820117f996777029ce8d.png 

Par ex : déterminer les primitives de  image.png.853b3f7d4619ba86f5e9b52f050d37fc.png 

Je pose  image.png.1d62ac8e183990cef3e9f510a3f59fe0.png  donc  image.png.c840679fabd4d1fcc5e0b4497411f584.png  et  image.png.02f5a618c11dc7220eb101555fe24843.png  qui a pour primitive  image.png.a97f7edbb074cab204ed0ea0aa5afb20.png

 D'où les primitives de j(x) :  image.png.70484002c7b206d485ed316af538c3cb.png

Je ne comprends pas pourquoi ça ne s'applique pas de la même manière lorsqu'il s'agit de f(x) = cos2 (x) :( :( 

  • E-Bahut
Posté(e)
il y a 18 minutes, C8H10N4O2 a dit :

Je pensais qu'avec F une primitive de f ,  image.png.ac4f8425a0d529221ed30c805c808dac.png était bien une primitive de image.png.b4e1421158bcda860e7211dc90905486.png .

Cela n'est vrai que lorsque g'(x) est une constante.  Essaie avec ta méthode de déterminer la primitive de f(x)=(3*x^2+2)^2  avec u=(3*x^2+2) et du=6*x...

Posté(e)

D'accord, donc ça ne fonctionne qu'avec des fonctions du type x--> ax ou x-->ax+b .

Ça me paraissait pourtant solide de passer par la dérivée d'une composition de fonctions... Bon il faut que je me replonge dans mon cours sur les intégrales et différentielles pour comprendre pourquoi ça ne marche pas dans les autres cas ! 

Merci Barbidoux :) 

  • E-Bahut
Posté(e)

Simplement par ce que FoG(x) est bien une primitive de f(g(x))*g'(x) mais FoG(x)/g'(x) n'est une primitive de f(g(x)) que lorsque g'(x) est une constante.

Posté(e)
Il y a 15 heures, Barbidoux a dit :

Simplement par ce que FoG(x) est bien une primitive de f(g(x))*g'(x) mais FoG(x)/g'(x) n'est une primitive de f(g(x)) que lorsque g'(x) est une constante.

Ah oui très juste, si F est une primitive de k.f, 1/k .F est une primitive de f, avec k une constante . (Du fait que k.f' = (kf)' )

Merci encore :) 

Archivé

Ce sujet est désormais archivé et ne peut plus recevoir de nouvelles réponses.

×
×
  • Créer...
spam filtering
spam filtering