asolene9 Posté(e) le 29 mars 2018 Signaler Posté(e) le 29 mars 2018 Exercice 1 État probabiliste d’un électeur En Markovie, on a remarqué que les électeurs adoptaient le comportement suivant : ► un électeur ayant voté pour le parti républicanien (R) a une probabilité de 0,72 de voter pour ce même parti aux prochaines élections et donc une probabilité de 0,28 de changer d’opinions en votant pour les démocratistes (D) aux élections suivantes ; ► un électeur ayant voté pour le parti démocratiste (D) a une probabilité de 0,74 de voter pour ce même parti aux prochaines élections et une probabilité de 0,26 de changer d’opinions en votant pour les républicaniens (R) aux élections suivantes. On a donc un système dynamique à deux états {R ; D } dont on cherche à étudier l’évolution. Cette évolution est modélisée par le graphe probabiliste suivant. Exercice 2 Échange inter-industriel – Matrice de Leontief En économie, les grandes entreprises industrielles dépendent les unes des autres. On construit un modèle simplifié d’inter-échange en considérant trois industries : l’industrie de l’énergie, celle des transports et celle de la construction. L’industrie de l’énergie regroupe les grandes compagnies pétrolières, les compagnies d’électricité, etc… ; celle des transports regroupe les compagnies de fret, de location de voitures et camions, etc.. ; celle de la construction regroupe les grands groupes du bâtiment publique, les entreprises artisanales, etc… Le schéma suivant décrit les différents échanges (schéma de L. Aït El Hadj-Bélisle, École polytechnique de Montréal). L’observation des échanges entre ces trois industries au Canada, pendant une période d’un an donne les chiffres suivants : ► En ce qui concerne les sommes produites par le secteur de la construction, 10 % de ces sommes serve à son propre fonctionnement, la demande du secteur du transport en construction représente 40 % des sommes produites par le transport, la demande du secteur de l’énergie en construction représente 20 % des sommes produites par l’énergie. ► En ce qui concerne les sommes produites par le secteur du transport, la demande de la construction en transport est de 20 % des sommes prroduites par la construction, 30 % des sommes produites par le transport serve à son propre fonctionnement, la demande du secteur de l’énergie en transport est de 10 % des sommes produites par l’énergie. ► Finalement, en ce qui concerne les sommes produites par le secteur de l’énergie, la demande de la construction en énergie représente 40 % des sommes produites par la construction, la demande du secteur du transport en énergie représente 30 % des sommes produites par le transport, 20 % des sommes produites par l’énergie serve à son propre fonctionnement.
E-Bahut julesx Posté(e) le 30 mars 2018 E-Bahut Signaler Posté(e) le 30 mars 2018 Bonjour et bienvenue sur le site, En dehors du fait qu'il faut éviter de poster plus d'un exercice à la fois, ce qu'on demande surtout, c'est que le demandeur fasse preuve de bonne volonté en donnant des éléments de réponse puis en disant ce qui l'arrête. En d'autres termes, poster simplement un énoncé ne suffit pas (en général, bien que certains intervenants s'en contentent et fournissent des corrigés in extenso, mais je n'en suis pas). Donc, la balle est dans ton camp. Tu peux surement trouver quelques réponses dans ton cours sur cette partie du programme.
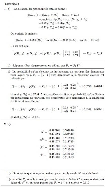
E-Bahut Barbidoux Posté(e) le 31 mars 2018 E-Bahut Signaler Posté(e) le 31 mars 2018 à vérifier bien sur .......
latrompette1502 Posté(e) le 1 mai 2018 Signaler Posté(e) le 1 mai 2018 bonjour est ce que quelqu'un pourrait m'aider pour l'exercice 2 svp J'ai réussi à faire l'exercice 1 et 3 mais je bloque sur ce dernier
E-Bahut pzorba75 Posté(e) le 1 mai 2018 E-Bahut Signaler Posté(e) le 1 mai 2018 En ce qui concerne les sommes produites par le secteur de la construction, 10 % de ces sommes serve à son propre fonctionnement, la demande du secteur du transport en construction représente 40 % des sommes produites par le transport, la demande du secteur de l’énergie en construction représente 20 % des sommes produites par l’énergie. soit 0,1x+0,4y+0,2z+70=x► En ce qui concerne les sommes produites par le secteur du transport, la demande de la construction en transport est de 20 % des sommes produites par la construction, 30 % des sommes produites par le transport serve à son propre fonctionnement, la demande du secteur de l’énergie en transport est de 10 % des sommes produites par l’énergie. soit 0,2x+0,3y+0,1z+50=y À vérifier, les copier-coller sont délicats avec ton sujet.► Finalement, en ce qui concerne les sommes produites par le secteur de l’énergie, la demande de la construction en énergie représente 40 % des sommes produites par la construction, la demande du secteur du transport en énergie représente 30 % des sommes produites par le transport, 20 % des sommes produites par l’énergie serve à son propre fonctionnement. Tu poursuis en écrivant l'équation correspondant à z, ensuite tu retrouves la matrice A telle que AX+D=X. Au travail.
Messages recommandés
Archivé
Ce sujet est désormais archivé et ne peut plus recevoir de nouvelles réponses.