Didioush Posté(e) le 3 décembre 2017 Signaler Posté(e) le 3 décembre 2017 Bonjour, vous m'aider s'il vous plaît
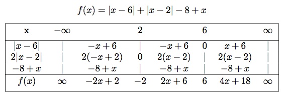
E-Bahut Barbidoux Posté(e) le 3 décembre 2017 E-Bahut Signaler Posté(e) le 3 décembre 2017 f(x)=|x-6|+2*|x-2]-8+x x………………………………..…….......(2)…………………………….........(6)………………………………. |x-6|…………(-x+6)……………………………….......…(-x+6)…………..(0)………..(x-6)……………… 2*|x-2|………(2*(-x+2))……………(0)…………….2*(x-2)…………………….....2*(x-2)…………….. -8+10………..(-8+x)………………………………....…(-8+x)……………………….....(-8+x)…………….. f(x)…………(-2*x+2)………….……(-2)……………(2*x-6)………...…(6)……….(4*x-18)……………… une solution sur l'intervalle [0,2] et une sur l'intervalle [2,6] solutions de f(x)=0 ==> x=1 et x=3
Didioush Posté(e) le 3 décembre 2017 Auteur Signaler Posté(e) le 3 décembre 2017 Je ne comprend pas le début
E-Bahut Barbidoux Posté(e) le 3 décembre 2017 E-Bahut Signaler Posté(e) le 3 décembre 2017 |x-6|+2*|x-2]=8-x ==> |x-6|+2*|x-2]-8+x =0 on étudie la fonction f(x)=|x-6|+2*|x-2]-8+x dont on cherchera les zéros qui sont solution de l'équation |x-6|+2*|x-2]=8-x
Didioush Posté(e) le 4 décembre 2017 Auteur Signaler Posté(e) le 4 décembre 2017 D'accord mais le résultat que vous m'avez mis je n'arrive pas à le comprendre
E-Bahut pzorba75 Posté(e) le 4 décembre 2017 E-Bahut Signaler Posté(e) le 4 décembre 2017 Il faut utiliser la définition de la valeur absolue de x, c'est dans le cours abs(x)=x si x>=0 ou abs(x)=-x si x<=0. Ce qui est appliqué dans le tableau de Barbidoux que je salue au passage.
Didioush Posté(e) le 4 décembre 2017 Auteur Signaler Posté(e) le 4 décembre 2017 D'accord mais le tableau il y a combien de partie je n'arrive pas à les distinguer
volcano47 Posté(e) le 4 décembre 2017 Signaler Posté(e) le 4 décembre 2017 comme le dit pzorba75 , |X| =X si X>0 et - X si X <0 parce que "valeur absolue" est la grandeur d'un nombre indépendamment de son signe ; - 3 et +3 ont la même valeur absolue |-3| = |+3| = 3 (sous entendu +3) Donc dans ce problème , il y a une zone (x>2) où x-2 > 0 donc |x-2| = x-2 et une zone (x< 2) où x-2 <0 donc |x-2| = --(x-2) = 2-x et même chose pour |x-6| En ligne, tu as les valeurs croissantes de x puis les valeurs de |x-6| suivant les valeurs de x ....etc.... Et en colonne tu lis aussi que x-2 =0 pour x=2 etc.. Mais avec ce site , on ne peut pas tracer des colonnes ou des lignes et on ne peut d'ailleurs rien écrire simplement et convenablement, c'est comme ça.
E-Bahut pzorba75 Posté(e) le 4 décembre 2017 E-Bahut Signaler Posté(e) le 4 décembre 2017 Tant que ce site n'acceptera pas d'interpréter des commandes Latex, les réponses un peu techniques resteront difficiles à donner et à saisir par les élèves. Je demande régulièrement à l'administrateur d'inclure un compilateur Latex, sans succès même si c'est une solution assez courante ailleurs.
E-Bahut Barbidoux Posté(e) le 4 décembre 2017 E-Bahut Signaler Posté(e) le 4 décembre 2017 Il y a 3 heures, Didioush a dit : D'accord mais le tableau il y a combien de partie je n'arrive pas à les distinguer
Didioush Posté(e) le 5 décembre 2017 Auteur Signaler Posté(e) le 5 décembre 2017 D'accord pour la résolution je fais comment ?
E-Bahut pzorba75 Posté(e) le 5 décembre 2017 E-Bahut Signaler Posté(e) le 5 décembre 2017 Tout simplement résoudre chacune des trois équations f(x)=0. Avec ce que Barbidoux a donné, c'est simplissime. Salut amical à Barbidoux.
E-Bahut Barbidoux Posté(e) le 5 décembre 2017 E-Bahut Signaler Posté(e) le 5 décembre 2017 en complément de Zorba. Attention la troisième solution obtenue lors de la résolution de 4x+18=0 ne convient pas, puisque cette expression n'est valable que dans l'intervalle [6,∞[ et que das cet intervalle l'équation n'admet pas de solution. Le mieux est de tracer, à partir du tableau, les graphes de ces expressions dans les intervalles correspondants et de déterminer dans les intervalles correspondants les abscisses des points d'intersection de ce graphe avec l'axe des x ce qui donne les solutions de l'équation.
E-Bahut pzorba75 Posté(e) le 5 décembre 2017 E-Bahut Signaler Posté(e) le 5 décembre 2017 @barbidoux : en sachant tracer la droite représentative d'une fonction linéaire...niveau 3eme des collèges. A+, bonne journée.
Messages recommandés
Archivé
Ce sujet est désormais archivé et ne peut plus recevoir de nouvelles réponses.