Aller au contenu

Géométrie dans l'espace


didine8413

Messages recommandés

Posté(e)

Bonjour j'ai un exercice de mathématiques que je n'arrive pas à faire, est-ce que quelqu'un pourrait-il m'aider svp?

 

On considère un cube ABCDEFGH d’arête de longueur 1. On note I le milieu de [AB], J le milieu de [FG] et K défini par : post-60444-0-87525100-1401713492_thumb.j

On complétera la figure donnée en annexe au fur et à mesure.

 

Partie I

1) Placer sur la représentation en perspective cavalière du cube donnée en annexe, les points I, J et K.

 

2) Montrer que l’intersection des plans (IJK) et (ABC) est la parallèle à (JK) passant par I.

 

3) Construire alors le point d’intersection L du plan (IJK) et de la droite (BC).

 

4) Construire la section du cube par le plan (IJK).

 

5) Montrer que les droites (IK) et (JL) sont sécantes.

 

 

Partie II

On se place dans le repère post-60444-0-44577200-1401713521_thumb.j On note L (1 ; a ; 0) où a  [0 ; 1]

 

1) Déterminer les coordonnées des points I, J et K.

 

2) Déterminer une représentation paramétrique de la droite (IK).

 

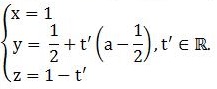
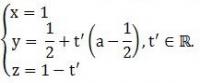
3) Démontrer que la droite (JL) a pour représentation paramétrique.

post-60444-0-23646600-1401713313_thumb.j
 

4) Montrer que a = 3/4 (on pourra utiliser le fait que les droites (IK) et (JL) sont sécantes).

 
 

Partie III

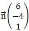
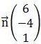
1) Montrer que le vecteur post-60444-0-96084700-1401713350_thumb.j est un vecteur normal au plan (IJK).

 

2) Déterminer une équation cartésienne du plan (IJK).

 

3) Déterminer les coordonnées du point M intersection de la droite (DF) et du plan (IJK).

 

4) Dans cette question, toute trace de recherche, même incomplète, ou d’initiative même non fructueuse, sera prise en compte dans l’évaluation.

Construire M.

 

IMG-0338.jpg

  • E-Bahut
Posté(e)

Pour debuter

Partie I
1) Placer sur la représentation en perspective cavalière du cube donnée en annexe, les points I, J et K.  
2) Montrer que l’intersection des plans (IJK) et (ABC) est la parallèle à (JK) passant par I.
------------
Les faces opposées d'un cubes sont parallèles.  L’intersection des plans (IJK) et (ABC) s'effectue donc selon des droites (KJ) et (IL) qui appartient à des plans parallèles. Elles sont donc parallèles ==> (IL)//(KJ)
------------
3) Construire alors le point d’intersection L du plan (IJK) et de la droite (BC).  
4) Construire la section du cube par le plan (IJK).
5) Montrer que les droites (IK) et (JL) sont sécantes.
------------
Les triangles KJF et IBL ont leur côtés //, ils sont donc semblables. [FK]=(2/3)[BI] on en déduit que  [KJ]=(2/3)[IL]. Le quadrilatère KJLI est un trapèze dans lequel les côtés non parallèles [KI] et [JL]  sont supportées par des droites (Ki) et (JL) non parallèles donc sécantes.

1.jpeg.1afe8a748f2292ae744a04d9fc91190c.jpeg
------------
 Partie II

On se place dans le repère (A;vect(AB),vect(AD),vect(AE))  On note L (1 ; a ; 0) où a ∈ [0 ; 1]
1) Déterminer les coordonnées des points I, J et K.
------------
I{1/2,0,0}, J{1,1/2,1}, K{2/3,0,1}
------------

  • 4 mois plus tard...
Posté(e)
Le 31/01/2020 à 00:01, Barbidoux a dit :

Pour debuter

Partie I
1) Placer sur la représentation en perspective cavalière du cube donnée en annexe, les points I, J et K.  
2) Montrer que l’intersection des plans (IJK) et (ABC) est la parallèle à (JK) passant par I.
------------
Les faces opposées d'un cubes sont parallèles.  L’intersection des plans (IJK) et (ABC) s'effectue donc selon des droites (KJ) et (IL) qui appartient à des plans parallèles. Elles sont donc parallèles ==> (IL)//(KJ)
------------
3) Construire alors le point d’intersection L du plan (IJK) et de la droite (BC).  
4) Construire la section du cube par le plan (IJK).
5) Montrer que les droites (IK) et (JL) sont sécantes.
------------
Les triangles KJF et IBL ont leur côtés //, ils sont donc semblables. [FK]=(2/3)[BI] on en déduit que  [KJ]=(2/3)[IL]. Le quadrilatère KJLI est un trapèze dans lequel les côtés non parallèles [KI] et [JL]  sont supportées par des droites (Ki) et (JL) non parallèles donc sécantes.

1.jpeg.1afe8a748f2292ae744a04d9fc91190c.jpeg
------------
 Partie II

On se place dans le repère (A;vect(AB),vect(AD),vect(AE))  On note L (1 ; a ; 0) où a ∈ [0 ; 1]
1) Déterminer les coordonnées des points I, J et K.
------------
I{1/2,0,0}, J{1,1/2,1}, K{2/3,0,1}
------------

Peut on avoir la suite @Barbidoux

Archivé

Ce sujet est désormais archivé et ne peut plus recevoir de nouvelles réponses.

×
×
  • Créer...
spam filtering
spam filtering