lea.vinted Posté(e) le 23 octobre 2019 Signaler Posté(e) le 23 octobre 2019 Bonjour j’ai un exercice à faire je dois étudier la monotonie de la suite (un) qui est un= 3n / 2n+1 On m’a tout d’abord demandé de calculer u0 u1 et U2 Ce que j’ai fait et pour étudier la monotonie de la suite j’ai fait : un > 0 n E N , un+1/ un = 3n+1/2n+2 / 3n/ 2n+1 = 3n+1/ 2n+2 * 3n/ 2n+1 = 3n+1/2n+1 * 3n/ 2n+2 = 3/2 * et le problème ensuite c’est que je ne sais pas résoudre 3n/2n+2 Je ne trouve pas le bon résultat quelqu’un pourrais-je m’aider et me dire si mon départ est correcte ou non. merci bonne soirée
E-Bahut julesx Posté(e) le 23 octobre 2019 E-Bahut Signaler Posté(e) le 23 octobre 2019 Je suppose évidemment que n est est entier naturel. Ici, il vaut mieux chercher le signe de un+1-un.
lea.vinted Posté(e) le 23 octobre 2019 Auteur Signaler Posté(e) le 23 octobre 2019 voilà le sujet n n’est pas marqué que c’est un entier naturel
E-Bahut Barbidoux Posté(e) le 23 octobre 2019 E-Bahut Signaler Posté(e) le 23 octobre 2019 Pour débuter 1a————————— u1=3^0/2^1=1/2, u2=3^1/2^2=3/2, u3=3^2/2^3=9/8 1b————————— un+1-un=3^(n+1)/2^(n+2)-3^n*2^(n+1)=3^n*2^(n+1)(3/2-1)>0 <==> un est une suite monotone croissante Mais on peut aussi démontrer que un+1-un=(3n+1 /2n+2)/(3n/2n+1)=3/2 >1 <==> un est une suite monotone croissante 2————————— wn+1-wn=-2*n^2+n-3 le polynôme -2*n^2+n-3 n’ayant pas de racines réelles il est du signe du coefficient de x^2 d’où wn+1-wn < 0 ==> wn est une suite monotone décroissante
E-Bahut julesx Posté(e) le 24 octobre 2019 E-Bahut Signaler Posté(e) le 24 octobre 2019 Il y a 12 heures, lea.vinted a dit : n n’est pas marqué que c’est un entier naturel Dans une suite, l'indice est forcément un entier naturel. La seule chose qu'on peut préciser, c'est si n commence à 0 ou à 1. Par contre, ignore ma réponse précédente, vu ce que tu avais écrit, je n'avais pas compris qu'il s'agissait d'élévation à la puissance. A l'avenir, essaie d'utiliser les balises indices et exposants.
C8H10N4O2 Posté(e) le 25 octobre 2019 Signaler Posté(e) le 25 octobre 2019 Pour le dernier exercice, (wn) est croissante à partir de w3 qui est le deuxième terme de la suite (dont l'ensemble des indices commence par 2), mais qui est d'indice 3. Je conseille de bien le préciser afin d'éviter toute confusion lors de la correction par ton professeur.
E-Bahut Barbidoux Posté(e) le 25 octobre 2019 E-Bahut Signaler Posté(e) le 25 octobre 2019 Le 23/10/2019 à 22:26, Barbidoux a dit : Erreur de ma part à la 3d : Rectificatif 2————————— wn+1-wn=(n^2-n-2)/(n*(n-1)) le polynôme n^2-n-2 a deux racines réelles il est du signe du coefficient de x^2 à l'extérieur de ses racines wn+1-wn > 0 pour n>2 ==> wn est une suite monotone croissante à partir de n=3
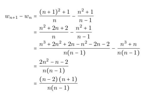
lea.vinted Posté(e) le 5 novembre 2019 Auteur Signaler Posté(e) le 5 novembre 2019 d’accord merci beaucoup pour la question 3) a wn+1- wn = ((n+1)+1) / (n+1)-1 - (n+1)/ (n-1) mais je n’arrive jamais à le détailler
lea.vinted Posté(e) le 6 novembre 2019 Auteur Signaler Posté(e) le 6 novembre 2019 pour étudier la monotonie de la suite (vn) question 2)b je doit faire vn+1-vn ? car comment je peut le faire vu que dans l’énoncé nous avons déjà vn+1 mais je ne sais pas le transformer en vn ?
E-Bahut julesx Posté(e) le 6 novembre 2019 E-Bahut Signaler Posté(e) le 6 novembre 2019 Il suffit d'utiliser la relation de récurrence qui te donne immédiatement la différence que tu recherches : vn+1=vn-2n²+n-3 => vn+1-vn=-2n²+n-3 Il ne te reste plus qu'à étudier le signe de -2n²+n-3.
lea.vinted Posté(e) le 6 novembre 2019 Auteur Signaler Posté(e) le 6 novembre 2019 D’accord est ce que je peut écrire ceci : vn+1 = vn -2n+n-3 n E N, vn+1 -vn = -2n+n -3 v1= -2*1+1-3=-4 v2 = -2*2+2-3=-9 or 2n+n -3> 0 (carré) donc -2n+n -3<0 donc (vn) décroissante
E-Bahut julesx Posté(e) le 6 novembre 2019 E-Bahut Signaler Posté(e) le 6 novembre 2019 Non, deux problèmes : * v2 et v1sont faux : v1=v0-2*0²+0-3=10-3=7 (v1 se calcule pour n+1=1 donc pour n=0 et il faut tenir compte de v0) v2=v1-2*1²+1-3=7-2-2=4 (v2 se calcule pour n+1=2 donc pour n=1 il faut tenir compte de v1). * le trinôme n'est pas un carré, il faut démontrer qu'il est toujours négatif en cherchant s'il peut s'annuler, donc s'il a des racines.
E-Bahut julesx Posté(e) le 6 novembre 2019 E-Bahut Signaler Posté(e) le 6 novembre 2019 Rectification d'une faute de frappe v2=v1-2*1²+1-3=7-2-2=3 (v2 se calcule pour n+1=2 donc pour n=1 il faut tenir compte de v1).
Messages recommandés
Archivé
Ce sujet est désormais archivé et ne peut plus recevoir de nouvelles réponses.