XboxOneS Posté(e) le 7 septembre 2018 Signaler Posté(e) le 7 septembre 2018 Voici le DM que je n'arrive pas : Qui pourra m'aider car je suis perdue; un grand merci pour me guider voici l'énoncé Le jeu d'échecs se joue sur un échiquier de 64 cases.Un souverain voulant remercier Sissa pour cette découverte du jeu lui promit: un grain de blé pour la 1ère case, 2 grains dans la 2ème case , 4 grains dans la 3ème case, et ainsi de suite, doublant la quantité d'une case à la suivante. 1 exprimez, sous forme de puissance 2,le nb de grains de blé qu'il y aura dans la case numéro 5 ,puis la case numéro 8 2 dans feuille de calcul ,faites le tableau suivant (Excel ou open office) A. B. C D E 1 case n° nb de grains 2. 1. 1 3 4 a) Dans la cellule A3 ,écrire la formule = A2 +1 b) Quelle formule doit on écrire ds la cellule B3 pour afficher le nombre de grains de la case N°2? = J'ai répondu on doit mettre B3= A2*2c) Sélectionner la plage A3 ; B3 puis recopier vers le bas pour obtenir le nombre de touts case de l'échiquier e) Quel est le nombre de grains de blé sur la 64 ème case ? Donner le résultat en écriture scientifique 3) a) Dans la cellule B66 saisir la formule =somme (B2:B65) Quel est le résultat affiché ? donner le résultat en écriture scientifique Jb) On estime que 10 grains de blé ont une masse de 1g. En 2015 , la production mondiale de blé est de 726 millions de tonne. que penser vous de la promesse du souverain ? Expliquer.
E-Bahut Barbidoux Posté(e) le 7 septembre 2018 E-Bahut Signaler Posté(e) le 7 septembre 2018 il y a 2 minutes, XboxOneS a dit : Voici le DM que je n'arrive pas : Qui pourra m'aider car je suis perdue; un grand merci pour me guider voici l'énoncé Le jeu d'échecs se joue sur un échiquier de 64 cases.Un souverain voulant remercier Sissa pour cette découverte du jeu lui promit: un grain de blé pour la 1ère case, 2 grains dans la 2ème case , 4 grains dans la 3ème case, et ainsi de suite, doublant la quantité d'une case à la suivante. 1 exprimez, sous forme de puissance 2,le nb de grains de blé qu'il y aura dans la case numéro 5 ,puis la case numéro 8 2 dans feuille de calcul ,faites le tableau suivant (Excel ou open office) A. B. C D E 1 case n° nb de grains 2. 1. 1 3 2 24 3 4a) Dans la cellule A3 ,écrire la formule = A2 +1 b) Quelle formule doit on écrire ds la cellule B3 pour afficher le nombre de grains de la case N°2? = J'ai répondu on doit mettre B3= B2*2c) Sélectionner la plage A3 ; B3 puis recopier vers le bas pour obtenir le nombre de touts case de l'échiquier e) Quel est le nombre de grains de blé sur la 64 ème case ? Donner le résultat en écriture scientifique 2^63= 9223372036854775808 =9.22337*10^183) a) Dans la cellule B66 saisir la formule =somme (B2:B65) Quel est le résultat affiché ? donner le résultat en écriture scientifique b) On estime que 10 grains de blé ont une masse de 1g. En 2015 , la production mondiale de blé est de 726 millions de tonne. que penser vous de la promesse du souverain ? Expliquer.
XboxOneS Posté(e) le 7 septembre 2018 Auteur Signaler Posté(e) le 7 septembre 2018 Donc pour la quéestion : Quel est le nombre de grains de blé sur la 64 ème case ? Donner le résultat en écriture scientifique c'est 9,22337E+18 ?
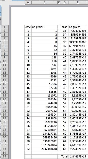
E-Bahut Barbidoux Posté(e) le 7 septembre 2018 E-Bahut Signaler Posté(e) le 7 septembre 2018 Oui, tu as les cases et le nombre de grain de blé sur chaque case. J'ai séparé le tableau en deux pour qu'il tienne dans la figure jointe....
XboxOneS Posté(e) le 7 septembre 2018 Auteur Signaler Posté(e) le 7 septembre 2018 Et tu as pour la B66 ? car on doit faire la formule =somme (B2:B65) Mais moi pour la 64 ème case je trouve pas pareil que toi comment tu fait pour l'écriture scientifique ?
E-Bahut PAVE Posté(e) le 7 septembre 2018 E-Bahut Signaler Posté(e) le 7 septembre 2018 Bonsoir, Tu devrais prendre la peine de RELIRE et d'ETUDIER les réponses et documents que Barbidoux t'a donnés dans son message où... tout est dit !! Ton tableau "excel" ne correspond à rien. As tu mis en place les formules qui t'ont été données ? Et tout d'abord as tu répondu à la question 1 ? Citation 1 exprimez, sous forme de puissance 2,le nb de grains de blé qu'il y aura dans la case numéro 5 , puis la case numéro 8 ?
XboxOneS Posté(e) le 8 septembre 2018 Auteur Signaler Posté(e) le 8 septembre 2018 Il y a 13 heures, PAVE a dit : Bonsoir, Tu devrais prendre la peine de RELIRE et d'ETUDIER les réponses et documents que Barbidoux t'a donnés dans son message où... tout est dit !! Ton tableau "excel" ne correspond à rien. As tu mis en place les formules qui t'ont été données ? Et tout d'abord as tu répondu à la question 1 ? Oui pour la 5 ème case j'ai mis 16 et la 8 ème case j'ai mis 128 Pour la question b) j'ai mis la réponse : B3= A2*2 Pour la question e) j'ai mis la réponse 9,22337E + 18 Pour cette question : Dans la cellule B66 saisir la formule =somme (B2:B65) Quel est le résultat affiché ? donner le résultat en écriture scientifique : j'ai mis 1,84467E + 19
E-Bahut PAVE Posté(e) le 8 septembre 2018 E-Bahut Signaler Posté(e) le 8 septembre 2018 Il y a 17 heures, XboxOneS a dit : exprimez, sous forme de puissance 2,le nb de grains de blé D'accord mais as tu écrit ces valeurs sous forme de "puissances de 2" ? Rappel 2^0= 1 ; 2^1 = 2 ; 2^ 2 = 4....... et 16 = 2 puissance ? puis 128 = 2 puissance ?? Pour ce qui est du tableur : dans la cellule A2 tu as mis la valeur 1(numéro de la case) ? dans la cellule B2 tu as mis la valeur 1 (nbre de grains dans la case 1) ? "Dans la cellule A3 ,écrire la formule = A2 +1", ce qui signifie qu'on ajoute 1 à la valeur contenue dans la cellule juste au dessus (soit A2). Si on recopiait vers le bas, cette formule = A2+1, on ferait apparaître les nombres entiers 3,4,5,6,7.........64 ! Dans la cellule B3, tu as écrit la formule = B2*2 (le nombre des grains est multiplié par 2). On peut faire ainsi et si on recopiait cette formule vers le bas, on verrait apparaître les valeurs 4, 8, 16, 32.... chaque valeur étant obtenue en multipliant par 2 la valeur juste au dessus. Essaye de faire cela et montre nous ce que tu as obtenu ; pour cela tu mets en pièce jointe de ton message réponse, le fichier EXCEL que tu as créé (pas une copie d'écran mais vraiment ton fichier .xls) et tu envoies. Si tu veux aller un peu plus loin, essaye de faire : Citation c) Sélectionner la plage A3 ; B3 puis recopier vers le bas pour obtenir le nombre de touts case de l'échiquier : pense à t’arrêter à la case 64 bien sûr Quand on aura ton fichier excel, on fera le point. Si tu rencontres des difficultés, dis nous lesquelles.
E-Bahut PAVE Posté(e) le 8 septembre 2018 E-Bahut Signaler Posté(e) le 8 septembre 2018 Voilà qui est fort bien mais il te manque la case 64. Pourquoi ne l'as tu pas mise ? J'ai complété ton fichier et ajoutant un autre type de calcul... avec les puissances de 2. Essaye de comprendre la formule (mais on obtient heureusement les mêmes valeurs). Tu fais le total ? pour l'écriture des grands nombres, tu as la signification dans le message de Barbidoux. Je vais aller... manger 01 Exel 1 (1).xlsx
XboxOneS Posté(e) le 8 septembre 2018 Auteur Signaler Posté(e) le 8 septembre 2018 il y a 10 minutes, PAVE a dit : Voilà qui est fort bien mais il te manque la case 64. Pourquoi ne l'as tu pas mise ? J'ai complété ton fichier et ajoutant un autre type de calcul... avec les puissances de 2. Essaye de comprendre la formule (mais on obtient heureusement les mêmes valeurs). Tu fais le total ? pour l'écriture des grands nombres, tu as la signification dans le message de Barbidoux. Je vais aller... manger Classeur 8.xlsx regarde c'est bon ?
E-Bahut PAVE Posté(e) le 8 septembre 2018 E-Bahut Signaler Posté(e) le 8 septembre 2018 Je viens de nettoyer mes lunettes et malgré cela.... il me semble qu'un échiquier n'a que 64 cases et pas 65 ! Tu as regardé, toi, les puissances de 2 ? et la formule qui permet de les calculer ?? Et la suite des questions, tu as répondu quoi ? Citation e) Quel est le nombre de grains de blé sur la 64 ème case ? Donner le résultat en écriture scientifique 3) a) Dans la cellule B66 saisir la formule =somme (B2:B65) Quel est le résultat affiché ? donner le résultat en écriture scientifique b) On estime que 10 grains de blé ont une masse de 1g. En 2015 , la production mondiale de blé est de 726 millions de tonnes. Que pensez vous de la promesse du souverain ? Expliquer.
XboxOneS Posté(e) le 8 septembre 2018 Auteur Signaler Posté(e) le 8 septembre 2018 Pour la question e) j'ai mis la réponse 4,61169E+18 Pour cette question : Dans la cellule B66 saisir la formule =somme (B2:B65) Quel est le résultat affiché ? donner le résultat en écriture scientifique : j'ai mis 1,84467E + 19 b) je n'arrive pas voilà l'exel : Classeur 8 (2).xlsx
E-Bahut Barbidoux Posté(e) le 8 septembre 2018 E-Bahut Signaler Posté(e) le 8 septembre 2018 Ton tableau Excel corrigé Exel 1 (1).xlsx
E-Bahut PAVE Posté(e) le 8 septembre 2018 E-Bahut Signaler Posté(e) le 8 septembre 2018 il y a 49 minutes, XboxOneS a dit : Pour la question e) j'ai mis la réponse 4,61169E+18 Pour cette question : Dans la cellule B66 saisir la formule =somme (B2:B65) Quel est le résultat affiché ? donner le résultat en écriture scientifique : j'ai mis 1,84467E + 19 b) je n'arrive pas voilà l'exel : Classeur 8 (2).xlsx Tu n'es pas très attentif aux remarques que l'on peut te faire... dommage. Par exemple je t'avais signalé que dans ton fichier excel, il manquait la ligne relative à la case 64 et tu renvoies un nouveau fichier dans lequel... tu n'as rien changé . Et la formule donnant la somme et donc la valeur 1,84467E + 19, elle n'est pas implantée non plus dans ton fichier. Enfin l'écriture 1,84467E + 19 n'est pas vraiment celle que l'on utilise. As tu revu la définition de l'écriture scientifique des grands nombres ? (c'est du cours !). On devrait avoir une puissance de 10... or excel ne la montre pas. Cherche un peu et revois quelques exemples avant de donner le nombre total de grains théoriquement posées sur l'échiquier... en véritable écriture scientifique (voir comme je te l'ai déjà signalé, le message initial de Barbidoux). Pour la question b) "b) On estime que 10 grains de blé ont une masse de 1g.", tu devrais pouvoir calculer la masse de blé théoriquement posée sur l'échiquier... c'est élémentaire. 10 grains ont une masse de 1g (soit 10-3 kg) 10 000 grains ont une masse de ? 10 000 000 )grains ont une masse de ..... kg = ...tonne 106 grains ont une masse de ...... kg etc Ou plus direct : [(Nombre total de grains) / 10] * 1 g =..... en g. A convertir en kg puis en tonnes et à comparer à la production mondiale annuelle de blé.......
XboxOneS Posté(e) le 9 septembre 2018 Auteur Signaler Posté(e) le 9 septembre 2018 La j'ai fait la plage 64 : Classeur 9.xlsx 100grains = 10 g 1000grains = 100g 10 000 grains = 1000g 100 000 = 10 000 1 000 000 = 100 000 = 1000 kg = 1 tonne 10 000 000 = 1 000 000 106 grains ont une masse de 1000 kg
E-Bahut PAVE Posté(e) le 9 septembre 2018 E-Bahut Signaler Posté(e) le 9 septembre 2018 Citation La j'ai fait la plage 64 : Classeur 9.xlsx Est-ce un gag ? quand j'ouvre ta feuille de calcul, je n'y trouve ni la ligne correspondant à la case 64, ni le calcul de la somme demandé par l'énoncé.... Si ce n'est pas un gag, c'est inquiétant... Citation 100 000 = 10 000 1 000 000 = 100 000 10 000 000 = 1 000 000 Mieux vaudrait éviter d'écrire de telles égalités... monstrueuses. Si 100 000 est égal à 1 000 000, je te prête bien volontiers 100 000 euros si tu m'en rends..... 1 000 000 .
XboxOneS Posté(e) le 9 septembre 2018 Auteur Signaler Posté(e) le 9 septembre 2018 il y a 4 minutes, PAVE a dit : Est-ce un gag ? quand j'ouvre ta feuille de calcul, je n'y trouve ni la ligne correspondant à la case 64, ni le calcul de la somme demandé par l'énoncé.... Si ce n'est pas un gag, c'est inquiétant... Mieux vaudrait éviter d'écrire de telles égalités... monstrueuses. Si 100 000 est égal à 1 000 000, je te prête bien volontiers 100 000 euros si tu m'en rends..... 1 000 000 . Je ne comprend pas voci l'exel en capture d'écran et par contre la somme je n'y arrive pas comment on fait ?
E-Bahut PAVE Posté(e) le 9 septembre 2018 E-Bahut Signaler Posté(e) le 9 septembre 2018 Je viens de comprendre !! Quand moi je te parle de la "case 64" de l'échiquier, toi tu comprends la "ligne 64 (ou la cellule de la ligne 64" de ta feuille de calcul. Si tu regardes bien ton tableau, le numéro "case 1" se trouve en ligne 2 le numéro "case 2" se trouve en ligne 3 ......... etc le numéro "case 64" se trouve en ligne 65 et le nombre de grains situés dans cette case 64 doit apparaître dans la cellule B65 Pour le total des grains, il suffit de faire ce qui est dit dans l'énoncé : dans la cellule B66, tu saisis la formule donnée dans l'énoncé.
XboxOneS Posté(e) le 9 septembre 2018 Auteur Signaler Posté(e) le 9 septembre 2018 Comment je fait pour régler ce problème ? et quand je tape la la formule =somme (B2:B65) ça me sort ça : 01 Exel 1 (1) (1).xlsx
E-Bahut PAVE Posté(e) le 9 septembre 2018 E-Bahut Signaler Posté(e) le 9 septembre 2018 Citation Comment je fait pour régler ce problème ? Tu te concentres un peu et tu réfléchis.... un peu. Tu as fait jusqu'à la case 63, tu dois bien pouvoir faire une ligne de plus pour avoir la case 64 !! Ta formule en B66 est correcte. Quand tu auras fait pour la case 64, le résultat sera exact.
XboxOneS Posté(e) le 9 septembre 2018 Auteur Signaler Posté(e) le 9 septembre 2018 Classeur 9 (1).xlsx voilà ?
E-Bahut PAVE Posté(e) le 9 septembre 2018 E-Bahut Signaler Posté(e) le 9 septembre 2018 Voilà ! e) Quel est le nombre de grains de blé sur la 64 ème case ? Donner le résultat en écriture scientifique 2^63= 9223372036854775808 =9.22337*10^18 ainsi a dit Barbidoux Dans le tableur tu lis : 9,22337E+18 9,22337E+18 qui est une valeur approchée de 2^63 (ou 263)ce qui s'écrit 9,22337*1018 (écriture scientifique : revois la définition) soit 9,22337 * 1 000 000 000 000 000 000 Tu as fait la suite ?
XboxOneS Posté(e) le 9 septembre 2018 Auteur Signaler Posté(e) le 9 septembre 2018 Donc pour la question Quel est le nombre de grains de blé sur la 64 ème case ? Donner le résultat en écriture scientifique c'est : 9,22337E+18 = 9,22337x10puissance18 et la question Dans la cellule B66 saisir la formule =somme (B2:B65) Quel est le résultat affiché ? donner le résultat en écriture scientifique c'est 1,84467E+19 = 1,84467x10puissance 19
E-Bahut PAVE Posté(e) le 9 septembre 2018 E-Bahut Signaler Posté(e) le 9 septembre 2018 Non. cette écriture est spécifique ( pas sûr ??) à l'environnement Excel. L'écriture scientifique habituelle (tu devrais faire l'effort d'aller voir ce que l'on appelle une écriture scientifique a* 10b ) donne du nombre 9,22337E+18 (sous Excel) l'écriture : 9,22337*1018 comme je te l'avais déjà expliqué dans mon précédent message.... que tu as lu trop vite !!
Messages recommandés
Archivé
Ce sujet est désormais archivé et ne peut plus recevoir de nouvelles réponses.