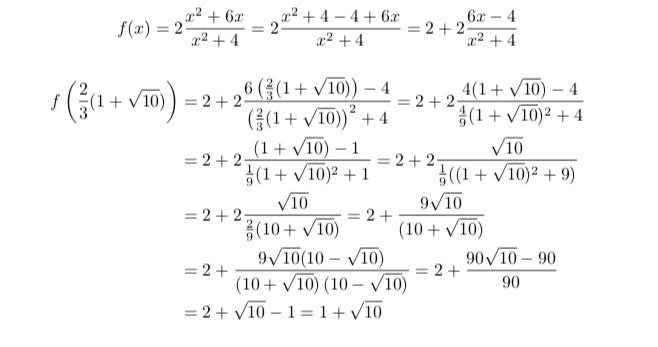
C8H10N4O2 Posté(e) le 23 août 2018 Signaler Posté(e) le 23 août 2018 Bonjour à tous ! Question purement calculatoire : Je cherche à calculer la valeur exacte des extremums de f (x) = 2(x2+ 6x) / (x2+ 4) . Sa dérivée s'annule et change de signe en x1= 2/3 (1 - √10) et en x2 = 2/3 (1+√10). Quelqu'un connaît il une méthode simple pour trouver la valeur exacte de f (x1) et de f (x2)? Mon manuel m'indique que leur valeur est respectivement 1 - √ 10 et 1+ √10 , mais j'ignore comment parvenir à ce résultat sans que cela demande une feuille complète de calcul (j'exagère mais vous m'avez compris...) Merci d'avance pour vos suggestions !
E-Bahut Barbidoux Posté(e) le 23 août 2018 E-Bahut Signaler Posté(e) le 23 août 2018 Il y a 3 heures, C8H10N4O2 a dit : Bonjour à tous ! Question purement calculatoire : Je cherche à calculer la valeur exacte des extremums de f (x) = 2(x2+ 6x) / (x2+ 4) . Sa dérivée s'annule et change de signe en x1= 2/3 (1 - √10) et en x2 = 2/3 (1+√10). Quelqu'un connaît il une méthode simple pour trouver la valeur exacte de f (x1) et de f (x2)? déjà mettre l'expression sous une forme un peu plus sympa.... ensuite remplacer la variable par sa valeur ...... Mon manuel m'indique que leur valeur est respectivement 1 - √ 10 et 1+ √10 , mais j'ignore comment parvenir à ce résultat sans que cela demande une feuille complète de calcul .... une dizaine de lignes à la main en détaillant à l'extrême pour le premier ensuite un simple change ment de signe pour le suivant.... pas très compliqué, juste un peu bourin ... On peut aussi investir dans une calculatrice équipé d'un logiciel de calcul formel (TSP TI-Nspire CX Cas par exemple) ou télécharger Xcas sur son ordinateur (c'est gratuit) et apprendre à s'en servir. Comparé au coût et à l'utilisation d'un téléphone portable, il n'y a pas photo c'est un investissement autrement plus rentable.....
C8H10N4O2 Posté(e) le 23 août 2018 Auteur Signaler Posté(e) le 23 août 2018 Merci beaucoup ! Effectivement modifier l'expression de départ aide considérablement... Je ne pense pas avoir su intuitivement dans quelle direction le faire... C'est noté pour XCas que je ne connais pas... Question subsidiaire : comment faites-vous pour intégrer à une réponse ces calculs qui ne sont manifestement pas écrits avec l'éditeur ebahut ?
E-Bahut Barbidoux Posté(e) le 23 août 2018 E-Bahut Signaler Posté(e) le 23 août 2018 A défaut d'éditeur LaTeX sur le forum, composition en LaTeX sur ordinateur, copie écran du document PDF produit au format Jpeg que l'on joint à la réponse.
E-Bahut pzorba75 Posté(e) le 24 août 2018 E-Bahut Signaler Posté(e) le 24 août 2018 Je reviens sur la réponse Latex de Barbidoux que je salue en priorité. Pour écrire des formules en Latex, sans vouloir faire trop compliqué, le plus simple est passer par overleaf.com, gratuit sans rien installer sur son PC et de copier le résultat qui s'affiche quand la syntaxe Latex est correcte. À visiter avant de se lancer. Il existe d'autres solutions équivalentes, overleaf est vraiment simple à utiliser.
C8H10N4O2 Posté(e) le 24 août 2018 Auteur Signaler Posté(e) le 24 août 2018 Merci pzorba75 ! Barbidoux à la relecture du calcul proposé, bien qu'il soit apparemment simple une fois posé, je continue à penser qu'il n'est pas trivial dans sa conception. Au long du raisonnement, des choix sont faits(se débarrasser du carré au numérateur, etc) et des chemins qui mènent à des impasses ne sont pas pris(développer le dénominateur trop tôt)... Des conseils généraux pour justifier la méthode suivie ou bien s'agit-il d'une question d'intuition qui vient avec le temps et la pratique ?
Messages recommandés
Archivé
Ce sujet est désormais archivé et ne peut plus recevoir de nouvelles réponses.