Ch00Ch00 Posté(e) le 16 mai 2017 Signaler Posté(e) le 16 mai 2017 Bonsoir, Je suis bloqué à deux exercices. Je dois résoudre les systèmes avec le pivot de gauss. Exercice 1: Résoudre dans R3 par la méthode de Gauss chacun des systèmes suivants et donner une interprétation géométrique des résultats. D'après mon professeur, je dois trouver: x = 5/3 ; y = -5 ; z = -14/3. Mais je n'y arrive pas, je ne trouve pas du tout la même chose. Exercice 2: On considère les systèmes " voisins " suivants: Ces systèmes ont-ils des solutions '' voisines '' ? Pour cet exercice, je ne comprend pas l'énoncé. Et je ne vois pas comment faire. Merci d'avance pour vos aides,
E-Bahut pzorba75 Posté(e) le 17 mai 2017 E-Bahut Signaler Posté(e) le 17 mai 2017 Essaie de résoudre ces systèmes avec le logiciel Xcas disponible gratuitement su un PC sous Windows.
Invité Posté(e) le 17 mai 2017 Signaler Posté(e) le 17 mai 2017 Bonjour, Premier système. Quand on remplace L2 par L2-L1/2 le coefficient de z et le terme constant sont modifiés. Or vous ne l'avez pas fait.
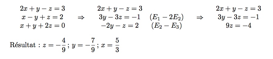
Gogoumo Posté(e) le 17 mai 2017 Signaler Posté(e) le 17 mai 2017 Bonjour, J'ai trouvé des résultats qui sont un peu une "salade" de ceux de Barbidoux x = 5/3 y = -7/9 z = -4/9 A vérifier ....
E-Bahut Barbidoux Posté(e) le 17 mai 2017 E-Bahut Signaler Posté(e) le 17 mai 2017 Il y a 15 heures, Ch00Ch00 a dit : Exercice 2: On considère les systèmes " voisins " suivants: Ces systèmes ont-ils des solutions '' voisines '' ? Pour cet exercice, je ne comprend pas l'énoncé. Et je ne vois pas comment faire. Réponse non car : {{10, 9, 1}, {9, 10, 5}, {1, 5, 9}} {x,y,z} ={{-50}, {40}, {180}} ==> {x,y,z}={{10, 9, 1}, {9, 10, 5}, {1, 5, 9}}-1{{-50}, {40}, {180}}={{10}, {-20}, {30}} ≠ de {x,y,z}={{10, 9, 1}, {9, 10, 5}, {1, 5, 9}}-1{{-50}, {41}, {180}}={{-66}, {69}, {-11}} ou encore en utilisant la méthode du pivot de Gauss :
Ch00Ch00 Posté(e) le 17 mai 2017 Auteur Signaler Posté(e) le 17 mai 2017 Merci beaucoup pour vos aides. J'avais eu un problème algèbrique. Je trouve bien x = 5/3 ; y = -7/9 : z = -4/9 Merci encore, Bonne soirée,
Messages recommandés
Archivé
Ce sujet est désormais archivé et ne peut plus recevoir de nouvelles réponses.