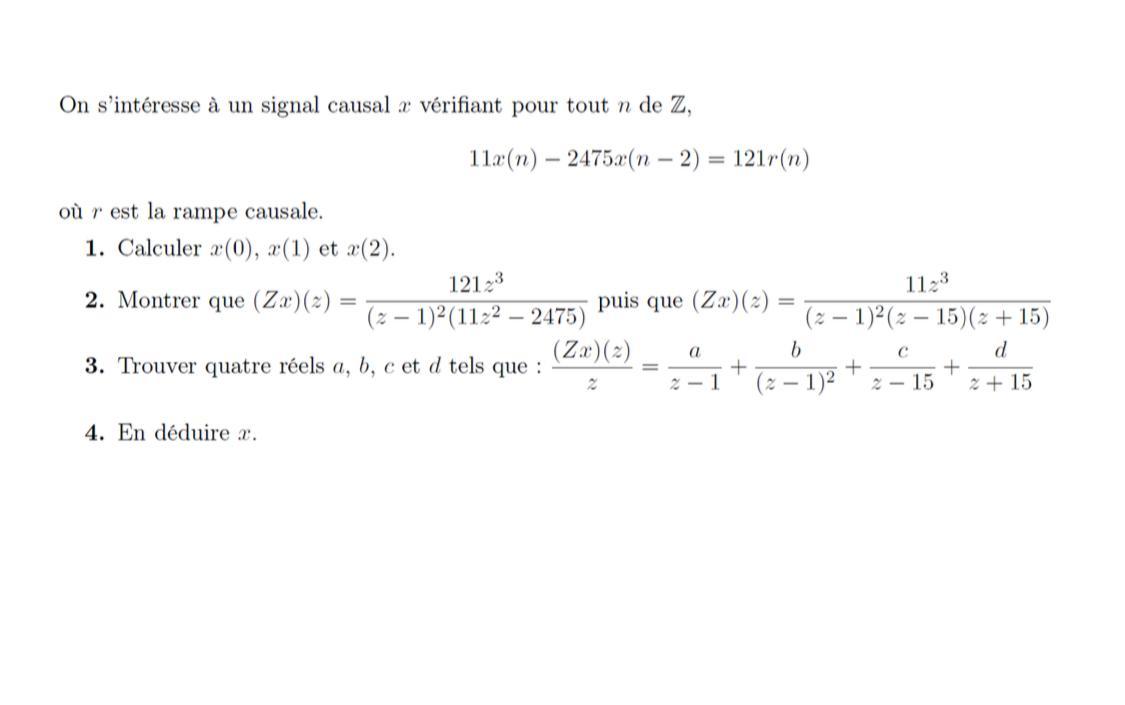
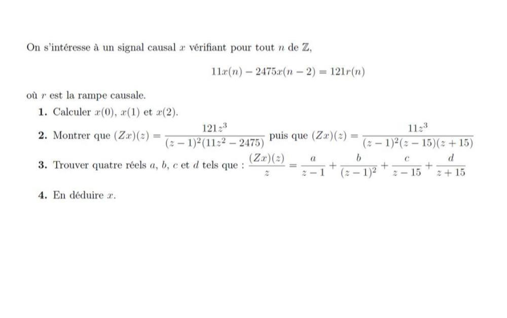
allan97232 Posté(e) le 6 avril 2020 Signaler Posté(e) le 6 avril 2020 Bonjour pouvez-vous m'aidez à faire ce devoir maison svp.
E-Bahut Barbidoux Posté(e) le 6 avril 2020 E-Bahut Signaler Posté(e) le 6 avril 2020 Un peu d'aide..... 2—————— 121=11*11 et 2475=225*11 et z^2-225=(z-15)*(z+15) 3—————— Réduire au même dénominateur ==> a z^3-a z^2-225 a z+225 a+b z^2-225 b+c z^3+13 c z^2-29 c z+15 c+d z^3-17 d z^2+31 d z-15 d=11*z^3 ce qui revient à résoudre le système d’équation : 225 a - 225 b + 15 c - 15 d = 0, -225 a - 29 c + 31 d = 0, -a + b + 13 c - 17 d = 0, a + c + d =11 ce qui donne a =3707/25088, b =-11/224, c=2475/392, d = 2475/512 à vérifier quand même
allan97232 Posté(e) le 6 avril 2020 Auteur Signaler Posté(e) le 6 avril 2020 il y a une heure, Barbidoux a dit : Un peu d'aide..... 2—————— 121=11*11 et 2475=225*11 et z^2-225=(z-15)*(z+15) 3—————— Réduire au même dénominateur ==> a z^3-a z^2-225 a z+225 a+b z^2-225 b+c z^3+13 c z^2-29 c z+15 c+d z^3-17 d z^2+31 d z-15 d=11*z^3 ce qui revient à résoudre le système d’équation : 225 a - 225 b + 15 c - 15 d = 0, -225 a - 29 c + 31 d = 0, -a + b + 13 c - 17 d = 0, a + c + d =11 ce qui donne a =3707/25088, b =-11/224, c=2475/392, d = 2475/512 à vérifier quand même c'est possible que tu écrives sur une feuille et que tu fasse une photo pour mettre en pièce jointe stp
E-Bahut julesx Posté(e) le 6 avril 2020 E-Bahut Signaler Posté(e) le 6 avril 2020 J'essaie pour le début, mais sans garantie. Si un spécialiste pouvait voir tout cela ? 1) * x(0) x(-2)=0 signal causal r(0)=0 => x(0)=0 * x(1) x(-1)=0 idem r(1)=1 => x(1)=121/11=11 * x(2) x(0)=0 r(2)=1 => x(2)=121*2/11=22 2) 11x(n)-1275x(n-2)=r(n) => (Zx)(z)(11-1275z-2)=z/(z-1)² voir tables de transformées => (Zx)(z)=z/(z-1)²/(11-1275z-2) qu'on multiplie par z² au numérateur et au dénominateur pour obtenir la forme de l'énoncé Cf. post ci-dessus pour la fin. 3) Autre possibilité pour la décomposition * multiplier de chaque côté par (z-1)² et remplacer z par 1 => b=-11/224 * multiplier de chaque côté par z-15 et remplacer z par 15 => c=165/392 * multiplier de chaque côté par z+15 et remplacer z par -15 => c=-165/512 * multiplier de chaque côté par z-1 et faire tendre z ver l'infini ou remplacer z par 0, par exemple. Je te laisse faire le calcul ! J'obtiens a=2475/25088 avec un logiciel de calcul formel. Bon courage ! 4) Utilise les tables de transformées inverses.
Messages recommandés
Archivé
Ce sujet est désormais archivé et ne peut plus recevoir de nouvelles réponses.