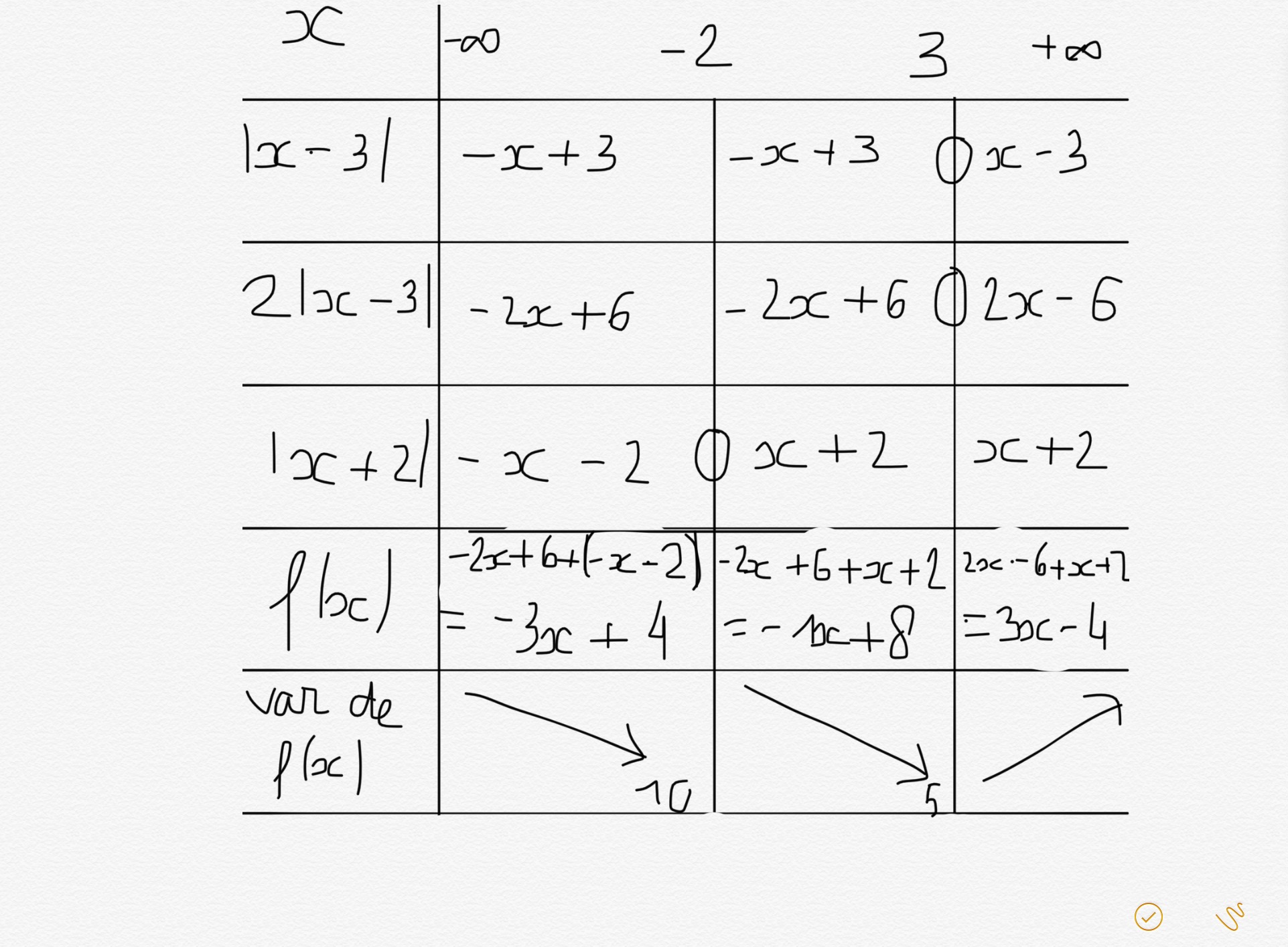
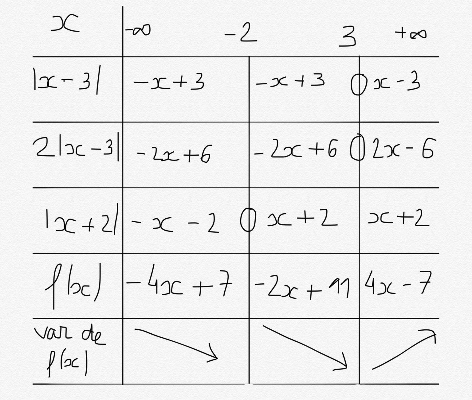
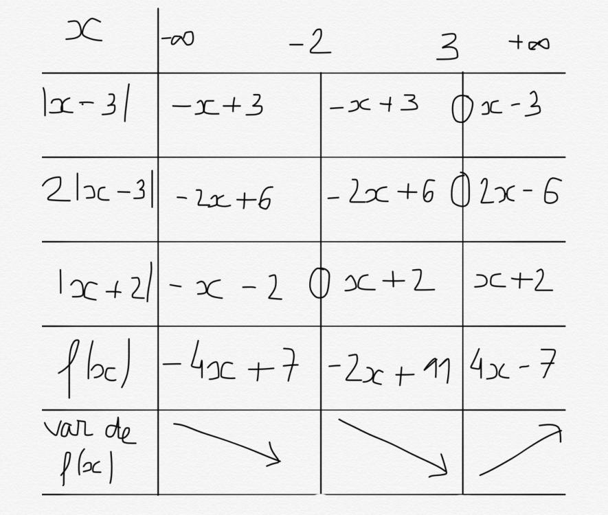
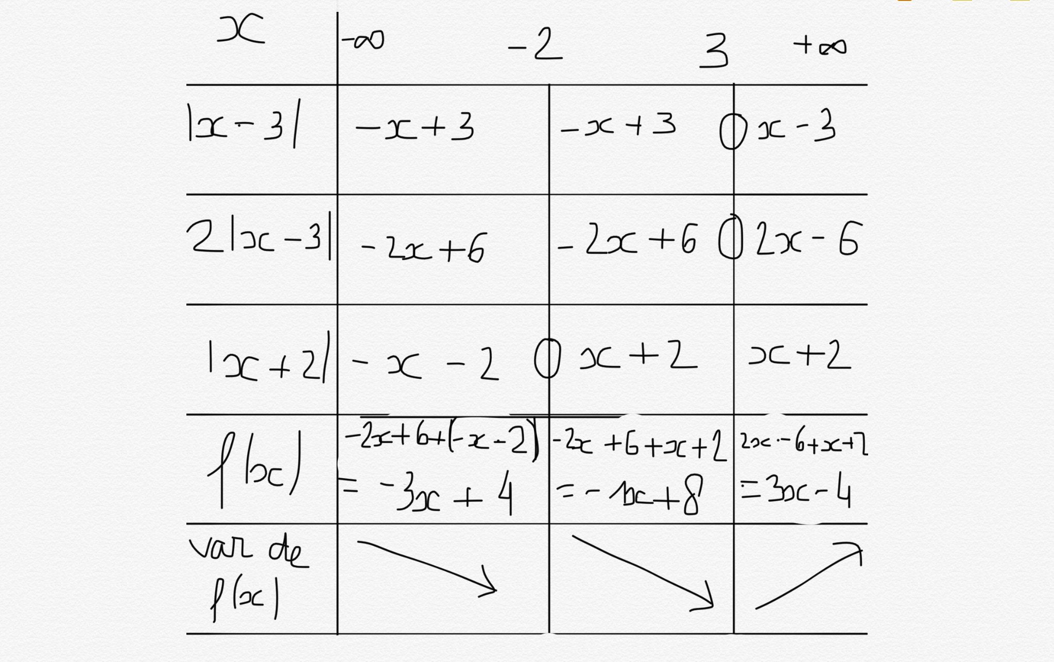
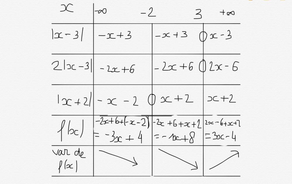
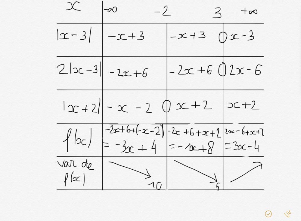
lila225767 Posté(e) le 19 novembre 2017 Signaler Posté(e) le 19 novembre 2017 Bonjour, je suis en 1S et j'ai un dm à faire pour lundi, je sais que je m'y prends un peu tard mais je ne comprends pas deux exercices..!!! pouvez-vous m'aider s'il vous plaît ? Exercice 1 : Sur une droite graduée D, on note A, B et M les points d'abscisses respectives : 3, -2, x. On cherche s'il existe une position de M sur D rendant minimal le nombre 2 MA + MB. Montrer que résoudre ce problème revient à étudier le minimum de la fonction f définie sur R par f(x) = 2 |x-3| + |x+2|. A l'aide d'un tableau, écrire la fonction f sans valeur absolue (on distinguera 3 intervalles). Tracer la représentation graphique de la fonction f, et conclure grâce au graphique. Où j'en suis : ça va paraître bête mais comme je n'ai absolument pas compris la première question, j'ai fais exactement que la même manière qu'en cours : |x-3| = 1) x-3 si x 3 ; 2) -x+3 sinon. |x+2| = 1) x+2 si x -2 ; 2) -x-2 sinon. Mon tableau est joint. Je n'ai pas encore tracé la représentation graphique. Exercice 2 : ABCDEFGH est un cube de côté 4. M est le point de l'arête [AB] et N est le point de l'arête [EH] tels que MB = EN. On pose x = MB = EN. On considère la fonction f qui a x associe f(x) = MN. Quel est l'ensemble de définition de f ? J'ai trouvé x appartient à [0;4]. Exprimer f(x) en fonction de x (on pourra admettre que le triangle EMN est rectangle en E). J'ai d'abord pensé à calculer EM et j'ai trouvé EM^2 = -x^2 + 32, mais après je ne sais pas comment calculer MN, je bloque, je sais qu'il faut utiliser pythagore. Étudier le sens de variation de f, (on pourra admettre que f(x) = racine de 2x^2-8x+32) Déterminer la valeur de x pour laquelle la distance MN est minimale. Calculer la valeur de ce minimum.
E-Bahut Boltzmann_Solver Posté(e) le 19 novembre 2017 E-Bahut Signaler Posté(e) le 19 novembre 2017 Bonjour, Ex 1. Pour la 1), il te suffit d'exprimer les différentes distances. Puis d'exprimer la fonction f à partir de là. Pour la 2), fais plutôt un tableau de signes pour mettre en évidence les différents cas possibles. Mais pourquoi pas. Pour la 3) tu as besoin de la 2). Et pour la conclusion, il manque les images du tableau de variations.
E-Bahut PAVE Posté(e) le 19 novembre 2017 E-Bahut Signaler Posté(e) le 19 novembre 2017 Bonjour, A l'avenir astreins toi à ne mettre qu'un seul exercice par message. Pour le premier, je trouve plutôt judicieux que bête, le fait d'avoir "faisT exactement que la même manière qu'en cours".
lila225767 Posté(e) le 19 novembre 2017 Auteur Signaler Posté(e) le 19 novembre 2017 Pour la 1), je ne comprend pas désolée... Pour la 3), j'ai tracé ça mais je ne sais pas quoi faire après il y a 4 minutes, Boltzmann_Solver a dit : Bonjour, Ex 1. Pour la 1), il te suffit d'exprimer les différentes distances. Puis d'exprimer la fonction f à partir de là. Pour la 2), fais plutôt un tableau de signes pour mettre en évidence les différents cas possibles. Mais pourquoi pas. Pour la 3) tu as besoin de la 2). il y a 3 minutes, PAVE a dit : Bonjour, A l'avenir astreins toi à ne mettre qu'un seul exercice par message. Pour le premier, je trouve plutôt judicieux que bête, le fait d'avoir "faisT exactement que la même manière qu'en cours". Pour la partie que vous ne comprenez pas, j'ai additionné les deux lignes au dessus car f(x) = 2 |x-3| + |x+2|
E-Bahut Boltzmann_Solver Posté(e) le 19 novembre 2017 E-Bahut Signaler Posté(e) le 19 novembre 2017 Je trouve qu'écrire l'addition est plus propre mais c'est pour ça que j'avais mis pourquoi pas. Je te laisse continuer avec l'élève.
E-Bahut PAVE Posté(e) le 19 novembre 2017 E-Bahut Signaler Posté(e) le 19 novembre 2017 A Boltzmann, bonjour Tu fais comme tu veux mais je n'ai rien contre le travail d'équipe . A Lila, Citation Pour la partie que vous ne comprenez pas, j'ai additionné les deux lignes au dessus car f(x) = 2 |x-3| + |x+2| moi aussi c'est ce que j'ai faiT mais je ne trouve pas comme toi . Écris l'addition comme le suggère Boltzmann...
E-Bahut Boltzmann_Solver Posté(e) le 19 novembre 2017 E-Bahut Signaler Posté(e) le 19 novembre 2017 Ne t'en fais pas. J'ai pas mal de corrections à faire sur mon site. Donc, si quelqu'un prend la relève, ça m'arrange
lila225767 Posté(e) le 19 novembre 2017 Auteur Signaler Posté(e) le 19 novembre 2017 il y a 38 minutes, PAVE a dit : A Boltzmann, bonjour Tu fais comme tu veux mais je n'ai rien contre le travail d'équipe . A Lila, moi aussi c'est ce que j'ai faiT mais je ne trouve pas comme toi . Écris l'addition comme le suggère Boltzmann...
E-Bahut PAVE Posté(e) le 19 novembre 2017 E-Bahut Signaler Posté(e) le 19 novembre 2017 Cela me convient beaucoup mieux 1) Il serait (très) intéressant que tu complètes ton tableau en y faisant figurer les valeurs "particulières" c'est à dire les valeurs de f(x) quand x = -2 et quand x = 3. 2) Sur les 3 intervalles de x, tu as remarqué que f(x) est la restriction d'une fonction affine * si x € ]-oo;-2[ alors f(x) = f1(x) = -3x+4 * si x€]-2;3[ alors f'x) = f2(x) = -x+8 * et si x>3 alors f(x) = f3(x) = 3x-4 Comme tu l'avais esquissé dans un précédent message, tu peux tracer les 3 droites représentatives de f1, f2 et f3. Pour représenter graphiquement f, tu ne gardes des 3 droites précédentes que les parties correspondant aux 3 intervalles de ton tableau. EXERCICE 2 Ton calcul de EM² est faux. Ensuite pour le calcul de MN... Coup de pouce : le triangle MEN est rectangle en E !!
lila225767 Posté(e) le 19 novembre 2017 Auteur Signaler Posté(e) le 19 novembre 2017 Par contre je ne sais pas comment conclure... Peut être remplacer x par 5 dans f(x) ??
lila225767 Posté(e) le 19 novembre 2017 Auteur Signaler Posté(e) le 19 novembre 2017 Je ne comprends pas mon erreur pour EM^2...
lila225767 Posté(e) le 19 novembre 2017 Auteur Signaler Posté(e) le 19 novembre 2017 Il y a 3 heures, PAVE a dit : Cela me convient beaucoup mieux 1) Il serait (très) intéressant que tu complètes ton tableau en y faisant figurer les valeurs "particulières" c'est à dire les valeurs de f(x) quand x = -2 et quand x = 3. 2) Sur les 3 intervalles de x, tu as remarqué que f(x) est la restriction d'une fonction affine * si x € ]-oo;-2[ alors f(x) = f1(x) = -3x+4 * si x€]-2;3[ alors f'x) = f2(x) = -x+8 * et si x>3 alors f(x) = f3(x) = 3x-4 Comme tu l'avais esquissé dans un précédent message, tu peux tracer les 3 droites représentatives de f1, f2 et f3. Pour représenter graphiquement f, tu ne gardes des 3 droites précédentes que les parties correspondant aux 3 intervalles de ton tableau. EXERCICE 2 Ton calcul de EM² est faux. Ensuite pour le calcul de MN... Coup de pouce : le triangle MEN est rectangle en E !! J'ai vraiment besoin de votre aide...
E-Bahut PAVE Posté(e) le 19 novembre 2017 E-Bahut Signaler Posté(e) le 19 novembre 2017 De retour après le... concert . EXERCICE 1 Pour la conclusion, relis le but de cet exercice : Citation On cherche s'il existe une position de M sur D rendant minimal le nombre 2 MA + MB donc rendant f(x) minimal !! Il suffit de regarder le tableau pour conclure ! Pour le graphique, il manque l'essentiel pour pouvoir le lire.....
E-Bahut PAVE Posté(e) le 19 novembre 2017 E-Bahut Signaler Posté(e) le 19 novembre 2017 Lis d'abord ce qui précède et termine le premier exercice... Pour l'exercice 2 Tu as écrit : " j'ai trouvé EM^2 = -x^2 + 32" montre nous comment tu es parvenu à ce résultat (faux) : quel calcul ?
lila225767 Posté(e) le 19 novembre 2017 Auteur Signaler Posté(e) le 19 novembre 2017 Pour le 1er exercice : sur ]- infini ; 3[...? Desolee je ne suis pas sûre de moi Pour le graphique, désolée je vous ai envoyé mon brouillon Pour le 2eme exercice : EM^2 = EA^2 + AM^2 = 4^2 + (4-x)^2 = 16 + 16 - x^2 = -x^2 + 32
E-Bahut PAVE Posté(e) le 19 novembre 2017 E-Bahut Signaler Posté(e) le 19 novembre 2017 il y a 16 minutes, lila225767 a dit : Pour le 1er exercice : sur ]- infini ; 3[...? Desolee je ne suis pas sûre de moi Que veux tu dire ? De quelle question parles tu ? Si tu faisais, une phrase COMPLETE, on comprendrait mieux !! Pour le graphique, désolée je vous ai envoyé mon brouillon Brouillon ou pas, sans le repère, le graphique est illisible. Montre nous ce que tu as obtenu.... si tu veux qu'on te corrige. Pour le 2eme exercice : EM^2 = EA^2 + AM^2 = 4^2 + (4-x)^2 oui = 16 + 16 - x^2 NON (voir identités remarquables ou développer (4-x)(4-x)) = -x^2 + 32
lila225767 Posté(e) le 19 novembre 2017 Auteur Signaler Posté(e) le 19 novembre 2017 Pour le premier exercice : Pour conclure, la position minimale de M sur D est entre ]- l'infini;3[ ? Pour le deuxième exercice : Donc : EM = EA^2 + AM^2 = 4^2 + (4-x)^2 = 16 + 16 - 8x + x^2 = x^2 - 8x + 32
lila225767 Posté(e) le 19 novembre 2017 Auteur Signaler Posté(e) le 19 novembre 2017 J'ai ensuite trouvé que : EN^2 = x^2 D'où : MN^2 = EN^2 + EM^2 MN^2 = x^2 + x^2 - 8x + 32 MN = racine de 2x^2 - 8x + 32 D'où f(x) = racine de 2x^2 - 8x + 32
E-Bahut PAVE Posté(e) le 19 novembre 2017 E-Bahut Signaler Posté(e) le 19 novembre 2017 Citation Pour conclure, la position minimale de M sur D est entre ]- l'infini;3[ ? NON pas du tout. On cherche LA position (donc UNIQUE) du point M sur la droite graduée.... cette position est repérée par l'abscisse de cette position sur cet axe. Regarde la représentation graphique de f(x) : Par exemple si l'abscisse x du point M est comprise entre -oo et -2, tu observeras que f(x) prend des valeurs y qui sont toutes supérieures à 10. Si l'abscisse x du point M croit (augmente) de -2 et 3, tu observeras que f(x) prend des valeurs y qui décroissent entre 10 et 5. Dès que x devient supérieur à 3, les valeurs de f(x) se mettent à croitre de 5 à +oo. Ne vois tu pas pour quelle valeur de x, la valeur de f(x) est minimale ?
lila225767 Posté(e) le 19 novembre 2017 Auteur Signaler Posté(e) le 19 novembre 2017 il y a 5 minutes, PAVE a dit : NON pas du tout. On cherche LA position (donc UNIQUE) du point M sur la droite graduée.... cette position est repérée par l'abscisse de cette position sur cet axe. Regarde la représentation graphique de f(x) : Par exemple si l'abscisse x du point M est comprise entre -oo et -2, tu observeras que f(x) prend des valeurs y qui sont toutes supérieures à 10. Si l'abscisse x du point M croit (augmente) de -2 et 3, tu observeras que f(x) prend des valeurs y qui décroissent entre 10 et 5. Dès que x devient supérieur à 3, les valeurs de f(x) se mettent à croitre de 5 à +oo. Ne vois tu pas pour quelle valeur de x, la valeur de f(x) est minimale ? Pour x = 3 ???
E-Bahut PAVE Posté(e) le 19 novembre 2017 E-Bahut Signaler Posté(e) le 19 novembre 2017 il y a 6 minutes, lila225767 a dit : J'ai ensuite trouvé que : EN^2 = x^2 D'où : MN^2 = EN^2 + EM^2 MN^2 = x^2 + x^2 - 8x + 32 MN = racine de 2x^2 - 8x + 32 D'où f(x) = racine de 2x^2 - 8x + 32 1) Pour écrire EN², tu peux : utiliser la touche ² qui se trouve en haut à gauche du clavier de ton ordinateur (c'est plus simple que EN^2) ou utiliser le "bouton" x² qui se trouve au dessus de la fenêtre où tu écris ton message... 2) Pour la racine carrée, on utilise habituellement la lettre majuscule V mais il faut absolument mettre des parenthèses, par exemple : V(2x²-8x+32) il y a 1 minute, lila225767 a dit : Pour x = 3 ??? Mais oui bien sûr .
lila225767 Posté(e) le 19 novembre 2017 Auteur Signaler Posté(e) le 19 novembre 2017 il y a 1 minute, PAVE a dit : 1) Pour écrire EN², tu peux : utiliser la touche ² qui se trouve en haut à gauche du clavier de ton ordinateur (c'est plus simple que EN^2) ou utiliser le "bouton" x² qui se trouve au dessus de la fenêtre où tu écris ton message... 2) Pour la racine carrée, on utilise habituellement la lettre majuscule V mais il faut absolument mettre des parenthèses, par exemple : V(2x²-8x+32) Merci mais je ne suis pas sur ordi :/, désolée D'accord donc je conclus que la position de M sur la droite graduée se trouve à x = 3 ?
E-Bahut PAVE Posté(e) le 19 novembre 2017 E-Bahut Signaler Posté(e) le 19 novembre 2017 Citation Merci mais je ne suis pas sur ordi :/, désolée objection non valable, votre Honneur ! Sur la machine que tu utilises (tablette ou téléphone), tu dois pouvoir agir sur le bouton x² du site ! (regarde il y en tout un paquet de boutons au dessus de la zone où tu écris : B I U etc..... S x² x2 A Police Taille) Et puis tu dois pouvoir écrire un V majuscule !! (NB : tu peux aussi aller chercher le symbole avec le bouton émoticones) Dans l'exercice 2, as tu fait la question 3 ?
lila225767 Posté(e) le 19 novembre 2017 Auteur Signaler Posté(e) le 19 novembre 2017 il y a 1 minute, PAVE a dit : objection non valable, votre Honneur ! Sur la machine que tu utilises (tablette ou téléphone), tu dois pouvoir agir sur le bouton x² du site ! (regarde il y en tout un paquet de boutons au dessus de la zone où tu écris : B I U etc..... S x² x2 A Police Taille) Et puis tu dois pouvoir écrire un V majuscule !! (NB : tu peux aussi aller chercher le symbole avec le bouton émoticones) Je pense avoir trouvé !!! Merci beaucoup Voulez-vous que je réécrive les résultats du coup ?
Messages recommandés
Archivé
Ce sujet est désormais archivé et ne peut plus recevoir de nouvelles réponses.