Ch00Ch00 Posté(e) le 7 août 2017 Signaler Posté(e) le 7 août 2017 Bonjour, Quelques exercices d'entraînements pendant les vacances, voici que j'ai fait: Qu'en pensez vous ? P.S: Je ne suis pas arrivé à faire pour l'exercice 3. 1) et 3) Merci d'avance, Ch00Ch00
E-Bahut pzorba75 Posté(e) le 7 août 2017 E-Bahut Signaler Posté(e) le 7 août 2017 Pour la 3) tu résous en posant z=x+iy (x et y réels) ce qui donnera un système d'inconnues x et y facile à résoudre. Je manque de courage pour m'y atteler en plein mois d'août. A+ Pierre PS : Je pense que l'équation a résoudre est une équation du second degré en z, sinon l'énoncé est véreux!
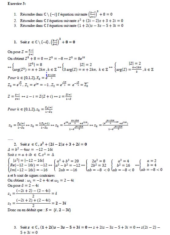
Invité Posté(e) le 7 août 2017 Signaler Posté(e) le 7 août 2017 Bonjour, Pour la 3-1/ Poser Z=(z-i)/(z+i) et commencer par résoudre Z3=-8 puis pour chaque solution trouvée, l'équation du 1er degré en z, Z=(z-i)/(z+i). La 3-3/ est une simple équation du 1er degré. Pas le temps d'en faire plus avant ce soir...
Invité Posté(e) le 7 août 2017 Signaler Posté(e) le 7 août 2017 Exercice n°2 La décomposition en éléments simples est exacte mais je me demande bien comment vous faites pour trouver a=0 en multipliant par X et en faisant X=0. Le terme en b/X2 devient b/X et est infini pour X=0 !!
Ch00Ch00 Posté(e) le 9 août 2017 Auteur Signaler Posté(e) le 9 août 2017 Le 07/08/2017 at 21:58, JLN a dit : Exercice n°2 La décomposition en éléments simples est exacte mais je me demande bien comment vous faites pour trouver a=0 en multipliant par X et en faisant X=0. Le terme en b/X2 devient b/X et est infini pour X=0 !! Bonsoir, Voici ce que j'ai fait à nouveau: Merci,
Ch00Ch00 Posté(e) le 9 août 2017 Auteur Signaler Posté(e) le 9 août 2017 Le 07/08/2017 at 08:12, JLN a dit : Bonjour, Pour la 3-1/ Poser Z=(z-i)/(z+i) et commencer par résoudre Z3=-8 puis pour chaque solution trouvée, l'équation du 1er degré en z, Z=(z-i)/(z+i). La 3-3/ est une simple équation du 1er degré. Pas le temps d'en faire plus avant ce soir... Bonsoir, Voici que j'ai fait, je ne suis pas sur c'est pourquoi je ne suis pas allez plus loin. Suis-je suis la bonne voie ? Pour le 3), c'est une équation du premier degré, mais je ne vois pas comment faire. Merci, Ch00Ch00,
Invité Posté(e) le 9 août 2017 Signaler Posté(e) le 9 août 2017 Bonsoir, Exercice 2 Etourderie, c'est G(2)=1/12, etc...Sinon, très bien. Exercice 3-1 Vous avez "oublié" le module en cours de route; les 3 racines en Z sont Z1=2exp(ipi/3), Z2=-2 et Z3=2exp(-ipi/3) Après on a effectivement zk=i(Zk+1)/(1-Zk), c'est du pur calcul Exercice 3-3 L'équation (1+2i)z-3z-5+3i= 0 s'écrit z(1+2i-3)=5-3i, ce qui donne z=(5-3i)/(2i-2), etc.
E-Bahut julesx Posté(e) le 10 août 2017 E-Bahut Signaler Posté(e) le 10 août 2017 Si je peux juste mettre mon grain de sel... Exercice 2 En fait c'est G(2)=1/6 Exercice 3-1 Avant de commencer les calculs, je mettrais,les Zk sous forme algébrique. Exercice 3-1 Telle quelle, l'équation est bien du 1er degré, mais pourquoi cette écriture biscornue ? J'ai regardé ce que ça donnerait s'il y avait un oubli de carré dans l'énoncé, les racines sont trouvables mais, sauf erreur, le résultat est loin d'être simple.
Invité Posté(e) le 10 août 2017 Signaler Posté(e) le 10 août 2017 Exercice 2 Etourdi moi-même Exercice 3-1 Question de goût, mais à la fin revenir à la forme algébrique , oui. Exercice 3-3 Je me demande aussi le pourquoi de cet exercice qui détonne (deux n...) par rapport aux autres.
Ch00Ch00 Posté(e) le 10 août 2017 Auteur Signaler Posté(e) le 10 août 2017 Bonsoir, Merci beaucoup JLN et julesx Exercice 3-1: Oui, j'ai laissé sous forme exponentielle. Mais je vais repasser sous forme algébrique comme vous l'avez dit. Exercice 3-3: Grâce à votre aide, après avoir fait le conjugué, je trouve donc S = {-2 - i/2} Exercice 2: Oups... Je vais corriger ça tout de suite ! Merci beaucoup !!!
E-Bahut julesx Posté(e) le 10 août 2017 E-Bahut Signaler Posté(e) le 10 août 2017 Exercice 3-1 Si tu as un doute, n'hésite pas à poster tes résultats. Exercice 3-3 Oui Exercice 2 Petite remarque, tu aurais pu effectivement passer par la multiplication par x pour trouver a, mais il aurait alors fallu faire tendre x ver l'infini, ce qui aurait donné 0=a+0+c+d soit 0=a+1-1 où on retrouve bien sûr a=0.
Ch00Ch00 Posté(e) le 10 août 2017 Auteur Signaler Posté(e) le 10 août 2017 Bonsoir julesx, Merci beaucoup, pour la méthode que vous proposiez, elle beaucoup plus rapide. Merci,
Messages recommandés
Archivé
Ce sujet est désormais archivé et ne peut plus recevoir de nouvelles réponses.