Ch00Ch00 Posté(e) le 1 août 2017 Signaler Posté(e) le 1 août 2017 Bonjour, J'ai des exercices d'entraînements à faire pendant l'été ( ), voici ce que j'ai fait. Qu'en pensez vous ? Merci d'avance, Ch00Ch00
E-Bahut pzorba75 Posté(e) le 1 août 2017 E-Bahut Signaler Posté(e) le 1 août 2017 La lecture de ton écriture manuscrite n'est pas chose aisée, mais j'ai vu une très grosse erreur : cos(pi/8) et sin(pi/8) sont des réels, compris entre -1 et 1. Tu n'as pas bien interprété les parties réelles et imaginaires en fin de tes calculs. Je n'ai pas assez de temps pour m'y coller. A+
Ch00Ch00 Posté(e) le 1 août 2017 Auteur Signaler Posté(e) le 1 août 2017 Il y a 2 heures, pzorba75 a dit : La lecture de ton écriture manuscrite n'est pas chose aisée, mais j'ai vu une très grosse erreur : cos(pi/8) et sin(pi/8) sont des réels, compris entre -1 et 1. Tu n'as pas bien interprété les parties réelles et imaginaires en fin de tes calculs. Je n'ai pas assez de temps pour m'y coller. A+ Bonsoir pzorba75, Je vais donc refaire cette exercice. Je vous remercie,
Invité Posté(e) le 1 août 2017 Signaler Posté(e) le 1 août 2017 Bonsoir, Dans le 1er exercice, je relève des étourderies à la fin (enfin, si je lis bien..) f([-1 ; 3])=[-1/4 ; 7/8] et f-1({-1, 0, 1}) ={-2, -1/2, 4} me semble-t-il. L'exercice suivant est en effet intégralement à revoir (y compris la 1ère méthode)
Ch00Ch00 Posté(e) le 3 août 2017 Auteur Signaler Posté(e) le 3 août 2017 Bonjour JLN, Après vérification, j'ai fait une erreur à la fin, à la question 5. Ce que vous avez trouvé est bon. Pour l'exercice suivant, je ne vois pas mon erreur. Il y a deux méthodes pour déterminer la/les racine(s) d'un nombre complexe ; par la méthode des racines-n-ième et par la méthode déterminer les racines carrées d'un nombre complexe Z de forme algébrique a+ib et de poser z= x+ iy (où x et y sont des réels) puis de résoudre le système d'équations. Pour la deuxième méthode, comme pzorba a fait la remarque que j'ai fait une grosse erreur cos(pi/8) et sin(pi/8) sont des réels compris entre -1 et 1. Merci,
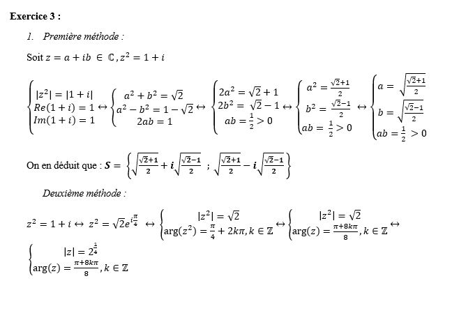
E-Bahut julesx Posté(e) le 3 août 2017 E-Bahut Signaler Posté(e) le 3 août 2017 Pour la première méthode de l'exercice 3. Ton début est correct, mais tu as fait une erreur dans le calcul de b². Tu trouves b²=(-√2-1)/2, donc un résultat négatif, ce qui est forcément faux. En fait, la soustraction des deux lignes a²+b²=√2 a²-b²=1 donne 2b²=√2-1, soit b=±√[(√2-1)/2]. Ensuite, il convient de préciser que, comme 2ab=1, a et b sont de même signe, ce qui justifie l'écriture des solutions sous la forme S1=√[(√2+1)/2]+i√[(√2-1)/2] S2=-√[(√2+1)/2]-i√[(√2-1)/2] Pour la deuxième méthode de l'exercice 3. Dans ta rectification, as-tu corrigé également le module qui est de √(√2), soit 2(1/4) ? Petit conseil, une fois que tu as obtenu les expressions du cosinus et du sinus, vérifie à la calculette qu'il y a cohérence entre le calcul direct et celui à partir des expressions déduites de l'étude.
Ch00Ch00 Posté(e) le 3 août 2017 Auteur Signaler Posté(e) le 3 août 2017 Bonjour julesx, Merci pour votre aide. Pour l'instant, après votre aide, voici ce que j'obtiens. Merci,
E-Bahut julesx Posté(e) le 3 août 2017 E-Bahut Signaler Posté(e) le 3 août 2017 Première méthode Attention, il faut faire apparaître les deux valeurs opposées de a et de b, puis utiliser le fait que, pour les solutions, a et b sont de même signe, ce que tu n'as pas fait. Comme dit dans mon post précédent, la deuxième solution est -√[(√2+1)/2]-i√[(√2-1)/2] . Deuxième méthode k appartient à Z, mais seules deux valeurs sont à retenir. Le plus souvent, lorsque il s'agit du calcul des racines carrées, on prend 0 et 1 (soit les deux entiers consécutifs partant de 0) . Pour des racines nième, on peut faire de même ( i.e. choisir 0, 1, 2, ... ,n-1) ou prendre des valeurs symétriques par rapport à 0 (mais rien n'interdit de faire d'autre choix d'entiers consécutifs). Il ne te reste plus qu'à gérer cela pour en tirer les expressions de cos(π/8) et de sin(π/8). N'hésite cependant pas à vérifier comme je te l'ai suggéré dans mon post précédent.
Ch00Ch00 Posté(e) le 3 août 2017 Auteur Signaler Posté(e) le 3 août 2017 Bonsoir julesx, Merci pour votre aide
Messages recommandés
Archivé
Ce sujet est désormais archivé et ne peut plus recevoir de nouvelles réponses.