Aller au contenu

Dérivée n-ième


Shelly213

Messages recommandés

Posté(e)

Bonjour,

J'ai des difficultés avec le signe sigma. 

$\displaystyle (fg)^{(p)}(x)=\sum_{k=0}^p \left(\begin{tabular}{c}{p} \\ {k}\end{tabular}\right) f^{(k)}(x)g^{(p-k)}(x)$

  • f1(x) = x*e^x

Soit pour x appartenant à R, 

On pose f = x et g = e^x 

f' = 1

f'' = 0 

pour n≥2

D'après la formule de Leibniz: 

(f*g)^p = (somme de k=0 allant à p) (k parmi p) f^k * g^(p-k) 

= (k parmi 0) f^0 * g^p + (k parmi 0) f^1 * g^(p-1) 

= à partir d'ici je suis bloqué.

Pourriez vous m'aider s'il vous plait, merci. 

 

  • f2(x) = 1 / (1 - x^2) 

f'(x) = (2x) / (1-x^2)^2

f''(x) = -(2(7x^2 + 1) ) / (1-x^2)^5)

A partir d'ici, je ne vois pas comment déterminer f^(n).

 

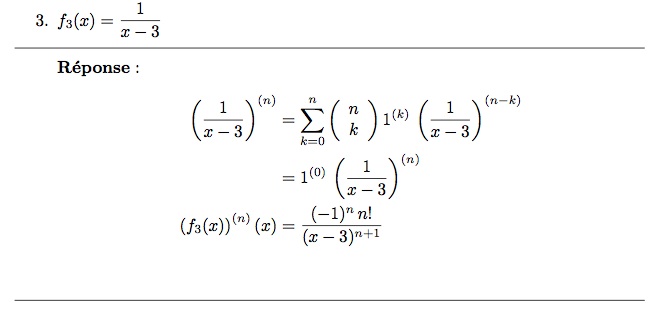
  • f3(x) = 1 / (x-3)

f'(x) = 1/(x-3)^2

f"(x) = - 2/(x-3)^3

f^(3)(x) = 6/(x-3)^4

f^(4)(x) = -24 /(x-3)^5

f^(n)(x) = (2*n)/ (x-3)^n

Est-ce bien ça ?

 

Merci d'avance pour vos aides,  

Archivé

Ce sujet est désormais archivé et ne peut plus recevoir de nouvelles réponses.

×
×
  • Créer...
spam filtering
spam filtering