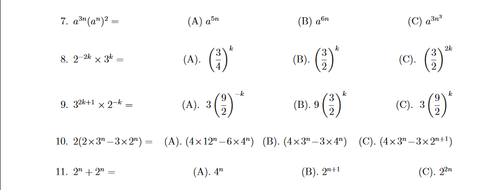
Adèle.prepa Posté(e) le 11 août 2016 Signaler Posté(e) le 11 août 2016 Bonjour, Alors voilà j'ai un cahier d'exercices de maths à faire pour ma rentrée en prépa , et les maths n'ont jamais été mon fort . Ici je bloque sur des questions sur les puissances présentées sous forme de QCM . Je vous montre l'énoncé en pièce jointe en espérant que vous pourrez m'expliquer car j'ai bien le corrigé mais il ne fournit aucune explications . Sachant que je n'ai fait que le tout début, j'aurais surement à nouveau besoin d'aide et j'espère que ça ne dérangera pas de m'aider un peu si vous avez le temps Les réponses qui me sont données sont : 7.A 8.A 9.C 10.C et je ne comprends pas pourquoi ... Merci d'avance pour votre aide
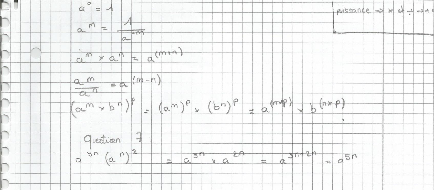
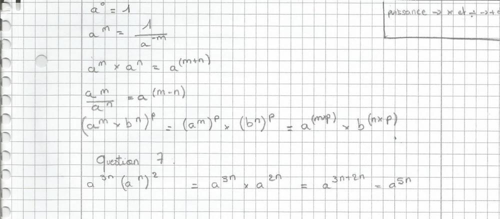
E-Bahut Boltzmann_Solver Posté(e) le 11 août 2016 E-Bahut Signaler Posté(e) le 11 août 2016 Bonjour, Quelques rappels, * Si a,b sont des nombres positifs et m,n,p sont des nombres. Alors, - a^0 = 1 - a^m = 1/a^(-m) - a^m*a^n = a^(m+n) - a^m/a^n = a^(m-n) - (a^m)^n = a^(m*n) - (a^m*b^n)^p = (a^m)^p*(b^n)^p = a^(m*p)*b^(n*p) * De plus, + et - sont moins prioritaires que * et / eux même moins prioritaires que ^ Déjà, peux tu me recopier tout ça à la main pour être sûr que tu comprends ces notations (scanne ou prends une photo). Ensuite, essaye de faire la Q7 même si tu n'es pas sûre de toi.
E-Bahut Boltzmann_Solver Posté(e) le 12 août 2016 E-Bahut Signaler Posté(e) le 12 août 2016 A priori, seules les réponses étaient attendues... Je te conseille d'être plus explicite à l'avenir afin d'être aidée plus rapidement. Donc, 7) A 8) A 9) C 10) C 11) B
E-Bahut Boltzmann_Solver Posté(e) le 13 août 2016 E-Bahut Signaler Posté(e) le 13 août 2016 Oups, je n'avais pas vu que tu avais le corrigé. Sachant la réponse, tu devrais pouvoir tenter quelque chose. En tout cas, j'attends une éventuelle réponse de ta part pour continuer. Et si malgré mes rappels, tu ne vois toujours pas, relis tes cours de 4e sur le calcul des puissances et ton cours de seconde en physique sur les distances dans l'univers (ou cherche un cours sur le net pour ces chapitres). Bonne chance.
volcano47 Posté(e) le 14 août 2016 Signaler Posté(e) le 14 août 2016 on utilise les rappels de cours de Bolzmann l' exemple 9 fait se servir de plusieurs propriétés (qu'il faut connaître !) : 3 2k+1 x 2 -k s'écrit ( 3 2k x 3 1 ) / 2 k = (3²) k x 3 / 2 k = (9/2) k x 3 (crispant d'écrire des formules sur ce site !)
patmarechal Posté(e) le 15 août 2016 Signaler Posté(e) le 15 août 2016 Bonjour ! Pas vraiment pratique pour écrire des formules sur ce site, en effet ! Je vais te donner quelques indications, s'il y a quelque chose que tu ne comprends pas n'hésite pas à me le dire. Pour le 7, c'est une combinaison de somme et de produits d'exposants, tu as a3n (an)2 = a3n * a2*n = a3n+2*n, ce que tu peux normalement simplifier en suivant les règles de calcul relatives aux sommes et aux produits. Pour le 8, on commence par rappeler 2-k = 1/(2k). Une fois que tu as ça tu te trouves avec (1/2)2k * 3k, ce qui peut aussi s'écrire (1/4)k * 3k. Enfin tu simplifies pour trouver (3/4)k Pour le 9, c'est à peu près le même principe. Pour le 10, tu dois juste développer l'expression, et te rappeler que 2 = 21.
Adèle.prepa Posté(e) le 26 août 2016 Auteur Signaler Posté(e) le 26 août 2016 Merci à tous pour vos réponses ! Cela m'a vraiment aidé et j'ai pu finir les questions sur les puissances . Et voilà ce que l'on m'avait demandé de faire pour être sur que je comprenne les notations, je ne pense pas m'être trompé ...
E-Bahut Boltzmann_Solver Posté(e) le 26 août 2016 E-Bahut Signaler Posté(e) le 26 août 2016 Bonjour Adèle, C'est nickel ! Envoie la suite !
Messages recommandés
Archivé
Ce sujet est désormais archivé et ne peut plus recevoir de nouvelles réponses.