berlier Posté(e) le 25 février 2016 Signaler Posté(e) le 25 février 2016 Bonjour donc voila j'ai deux petits exercices de physique à faire mais je n'y arrive je ne comprend pas le chapitre pouvez vous m'aidez s'il vous plait. Merci d'avance. Voici l'énoncé des deux exercices: Exercice 1) Calculer la période T2 d'un satellite qui évolue à une distance du centre de la Terre double de celle du satellite SPOT. La période de SPOT est T1=6.1*10^3 s On ne dispose d'aucune autre donnée! Réponse en seconde et en h+min+s Exercice 2) METEOSTAT, les satellites de météorologie européenne sont bien connus des téléspectateurs européens et même américains car ils fournissent des images que l'on voit tous les jours à la télévision. Ils participent à la veille météorologique mondiale en association avec d'autres satellites géostationnaires occupant différentes positions autour du globe. Ces satellites assurent en permanence les prises de vue de la Terre et de sa couverture nuageuse. Toutes les demi-heures, METEOSTAT prend des images dans 3 longueurs d'onde des domaines visibles et infrarouges. Donnée: période de rotation de la Terre dans le référentiel géocentrique(=jour sidéral): 86164 s Rt= 6.38*10^3 km; Mt=5.98*10^24 kg 1) Définir le terme " géostationnaire". 2) Préciser le plan de l'orbite d'un satellite géostationnaire. 3) Quelle est la période de révolution de ce satellite et de tout satellite géostationnaire dans le référentiel géocentrique? 4) A quelle altitude h METEOSTAT évolue-t-il? Réponse en m et en km. Rappeler le domaine des longueurs d'onde correspondant ( dans le vide et dans l'air): au visible, à l'infra-rouge.
E-Bahut Boltzmann_Solver Posté(e) le 25 février 2016 E-Bahut Signaler Posté(e) le 25 février 2016 Bonjour, Pour l'exercice n°1, Il suffit d'appliquer la troisième loi de Kepler aux deux satellites. Tu en tireras deux équations. Puis, en appliquant une combinaison adéquate entre ces deux égalités, tu pourras exprimer T2 en fonction de T1 et du rapport entre les deux demi grand axe. Dans un premier temps, peux tu appliquer la troisième loi de Kepler aux deux satellites ?
berlier Posté(e) le 25 février 2016 Auteur Signaler Posté(e) le 25 février 2016 Ok merci beaucoup je le fais et je le poste
volcano47 Posté(e) le 25 février 2016 Signaler Posté(e) le 25 février 2016 l'accélération (centripète) du satellite situé à une distance r1 du centre de la terre est V1 ² / r1 et si on admet que l'orbite est à peu près circulaire , on a : v 2 = 2 π r 1 T1 ; même chose pour l'autre satellite on en tire (V1 / V2)² = r2/r1 = (r1 T1 /r2T2)² ou (T1/T2)² = (r1/r2) 3 ça doit être une loi de Kepler d'ailleurs ; on en tire T2 si r2/r1=2 Un satellite géostationnaire ne peut rester au dessus d'un point de la terre que s'il tourne en même temps qu'elle par rapport à l'espace .; s'il tournait selon le parallèle du lieu, la force d'attraction étant centrale et la trajectoire circulaire, il serait attiré par l'axe de la terre ce qui est idiot. Il est attiré par le centre et donc il est en fait dans le plan de l'équateur terrestre : il n'est géostationnaire que par rapport à un point de l'équateur
berlier Posté(e) le 25 février 2016 Auteur Signaler Posté(e) le 25 février 2016 Troisième loi de Keppler T1/a1=k T2/a2=k T1/a1=T2/a2=k est- ce cela ?
b_folwo Posté(e) le 25 février 2016 Signaler Posté(e) le 25 février 2016 Bonjour, Pour l'exercice n°1, Voici une méthode qui te permet de comprendre un peu ce que tu fais (j'entends, pas juste balancer une formule). Mterre= masse de la terre m= masse du satellite Je mets les vecteurs en gras. Applique le TQM (Théorème de la Quantité de Mouvement) au satellite: ma=Fgravitationnelle=GmMterre/r² ur (avec ur le vecteur unitaire aligné sur la droite (terre-satellite) et dirigé vers la terre. Tu projettes le tout selon ur, et tu sais que l'accélération radiale est reliée à la vitesse du satellite: a.ur = v²/r Tu en déduis la vitesse du satellite en fonction de r: v = racine de ((GMterre)/r). Puis, facilement la période du satellite: il parcourt la distance 2*pi*r à la vitesse v, on a donc: v=2*pi*r / T, soit T=2*pi*r / v, donc en utilisant ce qu'on a fait avant: T = 2 * pi * r * racine de (r / GMterre) Et donc après tu fais le rapport des périodes et va apparaître le rapport des rayons des orbites et là c'est fini Ceci n'a nécessité qu'une légère approximation (au niveau lycée j'entends) : celle qui consiste à dire que l'orbite est circulaire. Ceci est le raisonnement le plus complet que tu auras à faire concernant la mécanique céleste durant tout ton lycée. Si tu sais le reproduire tu n'auras aucun problème.
b_folwo Posté(e) le 25 février 2016 Signaler Posté(e) le 25 février 2016 Pour l'exercice suivant, volcano a tout à fait raison, son explication concernant le plan équatorial est juste. La période de révolution de 24h te paraîtra une réponse évidente, même si elle est en fait de 23h56min car le jour solaire dure 24h, mais le jour sidéral 23h56... Pour la dernière question, reprends ce que je t'ai expliqué plus haut: tu connais la période en fonction de l'altitude du satellite: T =2*pi*racinede(r^3/GMterre) soit, en prenant en compte le fait que r = Rterre + h (avec R terre le rayon de la terre et h l'altitude du satellite) Tu n'as qu'à sortir h = ((T/2pi)²*GMterre)^(1/3) - Rterre voilaaaa
E-Bahut Boltzmann_Solver Posté(e) le 25 février 2016 E-Bahut Signaler Posté(e) le 25 février 2016 il y a 2 minutes, berlier a dit : Troisième loi de Keppler T1/a1=k T2/a2=k T1/a1=T2/a2=k est- ce cela ? J'imagine que c'est celle que tu as en cours. Il serait bien de définir un minimum k, je pense. Ou du moins dire dans quel cadre marche cette formule. Cela dit, c'est bien pour le moment . Il reste à isoler T2, peux tu le faire ? Si tu galères en maths, pense à une proportionnalité dans un premier temps.
berlier Posté(e) le 25 février 2016 Auteur Signaler Posté(e) le 25 février 2016 (T1/a1 )* a2 = T2 c'es plutôt cela non ?
b_folwo Posté(e) le 25 février 2016 Signaler Posté(e) le 25 février 2016 Voilà, et comme a2 = 2a1, on a T2 = ...
E-Bahut Boltzmann_Solver Posté(e) le 25 février 2016 E-Bahut Signaler Posté(e) le 25 février 2016 il y a 2 minutes, berlier a dit : (T1/a1 )* a2 = T2 ? Jusque là, je suis d'accord. il y a 1 minute, berlier a dit : (T1/a1 )* a2 = T2 c'es plutôt cela non ? Écris ainsi, on lit que tu appliques la composition par la fonction racine carrée uniquement sur (T1/a1 ). En maths, tu as vu que a = b ==> f(a) = f(b). Cela signifie que tu dois appliquer la fonction sur l'intégralité des membres de l'égalité. Donc, (T1/a1* a2 ) = T2 Cela dit, tu en es peut-être conscient.
berlier Posté(e) le 25 février 2016 Auteur Signaler Posté(e) le 25 février 2016 oui j'en suis conscient, en fait ce que je ne comprend pas c'est comment je peux trouver T2 alors que je n'ai qu'une seule donnée qui est T1 ? Comment trouver a2 et a3?
berlier Posté(e) le 25 février 2016 Auteur Signaler Posté(e) le 25 février 2016 il y a 11 minutes, b_folwo a dit : Voilà, et comme a2 = 2a1, on a T2 = ... Je suis désolé je ne comprend pas pourquoi fait-on cela ?
E-Bahut Boltzmann_Solver Posté(e) le 25 février 2016 E-Bahut Signaler Posté(e) le 25 février 2016 il y a 1 minute, berlier a dit : oui j'en suis conscient, en fait ce que je ne comprend pas c'est comment je peux trouver T2 alors que je n'ai qu'une seule donnée qui est T1 ? Comment trouver a2 et a3? Il n'y a pas de a2 et a3. Il y a a1 et a2 si tu relis l'équation obtenue. Après comme l'a dit @b_folwo, il y a 12 minutes, b_folwo a dit : Voilà, et comme a2 = 2a1, on a T2 = ... Donc, il y a une simplification qui apparaîtra si tu mènes le calcul. Lance toi. Et au pire, montre nous l'avancement de tes calculs.
berlier Posté(e) le 25 février 2016 Auteur Signaler Posté(e) le 25 février 2016 ok je vais me lancer et je vous transmet ce que j'obtient
E-Bahut Boltzmann_Solver Posté(e) le 25 février 2016 E-Bahut Signaler Posté(e) le 25 février 2016 il y a 3 minutes, berlier a dit : Je suis désolé je ne comprend pas pourquoi fait-on cela ? C'est écrit dans l'énoncé. Calculer la période T2 d'un satellite qui évolue à une distance du centre de la Terre double de celle du satellite SPOT.
berlier Posté(e) le 25 février 2016 Auteur Signaler Posté(e) le 25 février 2016 (T1/a1* a2 ) = T2 comme a2=2a1 on a: (T1)=T2 ((6.1*10^3))=T2 je n'en suis pas vraiment sûr
E-Bahut Boltzmann_Solver Posté(e) le 25 février 2016 E-Bahut Signaler Posté(e) le 25 février 2016 il y a 1 minute, berlier a dit : (T1/a1* a2 ) = T2 comme a2=2a1 on a: (T1)=T2 ((6.1*10^3))=T2 je n'en suis pas vraiment sûr Non, là tu as fait comme si a1 = a2. Or, a2 = 2a1 <==> a1/a2 = 1/2. Peux tu mettre en valeur le rapport a1/a2 dans l'expressions de T2 : (T1/a1* a2 )
berlier Posté(e) le 25 février 2016 Auteur Signaler Posté(e) le 25 février 2016 donc on trouve que a1*a2=2? ((6.1*10^3)/2)=T2
E-Bahut Boltzmann_Solver Posté(e) le 25 février 2016 E-Bahut Signaler Posté(e) le 25 février 2016 il y a 6 minutes, berlier a dit : donc on trouve que a1*a2=2? ((6.1*10^3)/2)=T2 Non plus, tu commets deux erreurs car tu n'as pas mis en valeur de rapport a2/a1 dans l'expression de T2. Comme tu ne sembles pas très à l'aise dans la manipulation d'expressions littérales, écris moi la formule de T2 sur une feuille, entoure le rapport a2/a1 et prends la en photo.
berlier Posté(e) le 25 février 2016 Auteur Signaler Posté(e) le 25 février 2016 Je suis vraiment désolé même sur feuille je n'arrive pas à trouver le résultat je trouve: ((T1)*(1/2))=T2
b_folwo Posté(e) le 25 février 2016 Signaler Posté(e) le 25 février 2016 Sérieusement là tu ne fais pas d'effort ! a2/a1 = 2*a1 / a1 = 2!!
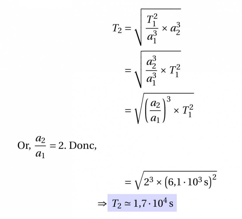
E-Bahut Boltzmann_Solver Posté(e) le 25 février 2016 E-Bahut Signaler Posté(e) le 25 février 2016 il y a 13 minutes, berlier a dit : Je suis vraiment désolé même sur feuille je n'arrive pas à trouver le résultat je trouve: ((T1)*(1/2))=T2 La feuille avait pour objectif de voir quelles étaient tes lacunes dans le traitement mathématique. Car tu ne sembles pas voir comment simplifier les a1 Cela dit : PS : Ma connexion n'a plus de forfait. Je ne suis pas sûr que l'image passe.
berlier Posté(e) le 25 février 2016 Auteur Signaler Posté(e) le 25 février 2016 il y a 7 minutes, b_folwo a dit : Sérieusement là tu ne fais pas d'effort ! a2/a1 = 2*a1 / a1 = 2!! j'avais écrit sa tout à l'heure mais j'ai oublier de le mettre au cube et je tournait en rond !
Messages recommandés
Archivé
Ce sujet est désormais archivé et ne peut plus recevoir de nouvelles réponses.