emilie4 Posté(e) le 11 février 2014 Signaler Posté(e) le 11 février 2014 Bonjour, j'ai cet exercice à faire , je l'ai commencé ,mais je suis bloquée ,je sollicite votre aide s'il vous plaît : Soit les nombres complexes : z1=1+i racine carrée 3 , z2= racine carrée 2- racine carrée 2i et z=z1/z2. 1.Ecrire Z sous forme algébrique. J'ai mis : Z= (racine carrée 2- racine carrée6)/4+i(racine carrée 6)/2. 2.Déterminer les formes exponentielles de z1,z2 et z. J'ai mis : z1=2e^(i pi/3) , z2=2e^(-i pi/4) , Z=e^(i pi/12). 3.En déduire cos (7 pi/12) et sin (7 pi/12). Je n'ai pas réussi , à partir de cette question je bloque. 4.Le plan est muni d'un repère orthonormé , on prendre 2 cm comme unité graphique. On désigne par A , B et C les points d'affixes respectives z1 , z2 et z. Construire les points A , B et C en utilisant la règle et le compas. (On laissera les traits de construction apparents). 5.Ecrire sous forme algébrique le nombre complexe Z^2018. J'espère que quelqu'un pourra m'aider. Merci.
E-Bahut pzorba75 Posté(e) le 11 février 2014 E-Bahut Signaler Posté(e) le 11 février 2014 Pour calculer z2018, il faut exprimer z sous sa forme exponentielle z=rho*e^{i*theta) et ensuite c'est assez simple.
emilie4 Posté(e) le 13 février 2014 Auteur Signaler Posté(e) le 13 février 2014 Bonjour , Merci pour votre réponse , mais sans vouloir être désagréable , ne devrais-je pas commencer par la question 3 ?
emilie4 Posté(e) le 14 février 2014 Auteur Signaler Posté(e) le 14 février 2014 Bonjour , Merci beaucoup Barbidoux. Bonne journée.
balenciaga Posté(e) le 1 février 2016 Signaler Posté(e) le 1 février 2016 Le 13/2/2014 at 22:21, Barbidoux a dit : Math .pdf Bonjour, comment puis-je avoir accès à ce document? Je clique dessus et rien ne ce passe.
E-Bahut pzorba75 Posté(e) le 1 février 2016 E-Bahut Signaler Posté(e) le 1 février 2016 Je repars à la question 3 : Une fois que tu as mis z=e^(i*pi/12)=cos(pi/12)+i*sin(pi/12), tu exprimes algébriquement z=z1/z2=(1+i*sqrt(3))/(sqrt(2)-i*sqrt(2)) en isolant parties réelle et imaginaire pour identifier avec la première expression de z. Alors tu auras la valeur exacte de cos(pi/12) et de sin(pi/12). À toi de travailler.
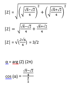
balenciaga Posté(e) le 1 février 2016 Signaler Posté(e) le 1 février 2016 Je suis actuellement bloquée sur la question 2, mais c'est vraiment qu'un problème de calcul. Voici ce que j'ai fait pour trouver la forme exponentielle de Z: Donc voilà, je bloque au niveau des calculs. J'ai l'impression d'avoir raté quelque chose.
E-Bahut pzorba75 Posté(e) le 1 février 2016 E-Bahut Signaler Posté(e) le 1 février 2016 Plus simple et plus rapide z1=2(1/2+i*sqrt(3)/2)=2*e^(i*pi/3), z2=2(sqrt(2)/2-i*sqrt(2)/2)=2e^-i*pi/4) et z=z1/z2=e^(i*pi/3+i*pi/')=e^(i*7pi/12).
balenciaga Posté(e) le 1 février 2016 Signaler Posté(e) le 1 février 2016 Ah mais oui d'accord, je n'y avais pas du tout pensée. Merci et bonne journée!
E-Bahut Barbidoux Posté(e) le 1 février 2016 E-Bahut Signaler Posté(e) le 1 février 2016 voila....Math.pdf
Jumath Posté(e) le 6 février 2016 Signaler Posté(e) le 6 février 2016 Je ne comprends pas comment vous avez tracé Z à la question 4. Pour moi cos (7pi/12) est négatif donc il devrait ne devrait pas être là. Quelqu'un peu m'aider?
E-Bahut Barbidoux Posté(e) le 6 février 2016 E-Bahut Signaler Posté(e) le 6 février 2016 erreur compilation Latex voilà le bon fichier ...Math .pdf
Jumath Posté(e) le 7 février 2016 Signaler Posté(e) le 7 février 2016 Merci! Comment avez vous fait pour placer le point C? J'ai essayé de le faire mais je n'ai pas la même méthode que vous :/ voici ce que j'ai fait : comme |Z|= 1 donc OZ=1 C est sur le cercle trigonométrique Puis comme arg Z= π/3 + π/4. j'ai reporté l'arg de Z avec le compas!
E-Bahut Barbidoux Posté(e) le 7 février 2016 E-Bahut Signaler Posté(e) le 7 février 2016 OA fait un angle de π/6 avec l'axe des ordonnée. Symétrique de A par rapport à l'axe des ordonnée, puis médiatrice du segment joignant ce point au sommet du cercle trigo. L'angle fait par cette médiatrice et l'axe des x vaut π/12+π/2=7*π/12 puis |z|=1
Messages recommandés
Archivé
Ce sujet est désormais archivé et ne peut plus recevoir de nouvelles réponses.