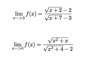
j-l Posté(e) le 2 janvier 2012 Signaler Posté(e) le 2 janvier 2012 Bonjour, j'ai un exercice de Maths où je bloque: Étudier les limites de ces fonctions: a)f(x)=(√x+2)-2/(√x+7)-3 en 2 b)f(x)=x²+x/(√x²+4)-2 en 0 je sais pas comment mettre une racine carrée si ce n'est pas compréhensible vous pouvez lire cette description: a) C'est racine carrée x+2 plus loin -2 divisé pas racine carrée de x+7 plus loin -3. Il faut étudier la limite en 2. Là je multiplie par la forme conjuguée et je simplifie et je tombe encore sur une forme indéterminée. b)C'est x²+x divisé par racine carrée de x²+4 plus loin -2. Il faut étudier la limite en 0. Le même problème je multiplie par la forme conjuguée, puis je simplifie je tombe encore sur une forme indéterminée. MERCI BEAUCOUP
E-Bahut pzorba75 Posté(e) le 2 janvier 2012 E-Bahut Signaler Posté(e) le 2 janvier 2012 Le plus simple pour écrire une racine carrée est d'utiliser l'opérateur des langages de prepgrammation scientifique, Fortan par exemple sqrt(e(x)) racine carré de e(x), si e(x)>=0 De cette façon tu resteras lisible et sans faire trop d'effort en rédigeant. Revois ton sujet pour bien placer les parenthèses, s'il y en a à utiliser dans tes expressions.
j-l Posté(e) le 2 janvier 2012 Auteur Signaler Posté(e) le 2 janvier 2012 Bonjour zorba, Merci pour l'écriture mais il est écrit tel quel sur mon sujet donc je n'ai rien d'autre à apporter mais pour l'exercice pourrais-tu m'aider? Merci.
E-Bahut Barbidoux Posté(e) le 2 janvier 2012 E-Bahut Signaler Posté(e) le 2 janvier 2012 Étudier les limites de ces fonctions: a)f(x)=(√x+2)-2/(√x+7)-3 en 2 A l'appui de ce que dit Zorba, voilà (exprimé sur deux lignes) l'expression de f(x) écrite ci-dessus : est-ce bien l'expression dont on l'on te demande de calculer la limite en 2 ???
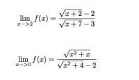
j-l Posté(e) le 2 janvier 2012 Auteur Signaler Posté(e) le 2 janvier 2012 Non ce n'est pas celle là pour la a) en numérateur racine carrée de x+2 -2 ( le -2 n'est pas sous la racine carrée) et au dénominateur racine carrée de x+7 -3 (le -3 n'est pas sous la racine carrée). Limite en 2 pour le b) en numérateur x²+x et en dénominateur racine carrée de x²+4 -2 (le -2 n'est pas sous la racine). Limite en 0 Voilà si tu as compris remontre moi les expressions et je te dirais si c'est bien cela.
j-l Posté(e) le 2 janvier 2012 Auteur Signaler Posté(e) le 2 janvier 2012 Voilà pour le a) c'est exactement ça! pour le b) C'est ça sauf que x²+x n'est pas sous une racine carrée il y a juste au numérateur x²+x sinon c'est ça!
j-l Posté(e) le 2 janvier 2012 Auteur Signaler Posté(e) le 2 janvier 2012 D'accord! pour le a) quand tu poses h(x) après tu n'en a pas besoin? Toujours pour la a) pourquoi f(x)/g(x) c'est une formule? Et comment as tu trouver f'(x) et g'(x)? Et pour le b) pourquoi (1+1/x)? comment as tu trouver cette forme?
E-Bahut Barbidoux Posté(e) le 2 janvier 2012 E-Bahut Signaler Posté(e) le 2 janvier 2012 D'accord! pour le a) quand tu poses h(x) après tu n'en a pas besoin? Toujours pour la a) pourquoi f(x)/g(x) c'est une formule? Et comment as tu trouver f'(x) et g'(x)? Si j'avais fait une faute de frappe que j'ai corrigée. Pour lever l'indétermination j'ai utilisé la règle de l'hôpital (comparaison des nombres dérive du numérateur et dénominateur d'un rapport de deux fonctions lorsqu'elle tendent simultanément vers 0 ou l'infini pour une valeur de la variable). Et pour le b) pourquoi (1+1/x)? comment as tu trouver cette forme? (x^2+x)/x^2=(1+1/x)
j-l Posté(e) le 2 janvier 2012 Auteur Signaler Posté(e) le 2 janvier 2012 Sans être désagréable ces techniques sont du niveau de 1ère? parce que je suis en 1ère. Mais je comprend toujours pas comment tu as fais pour trouver h'(x) et g'(x)
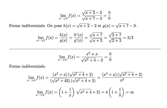
E-Bahut Barbidoux Posté(e) le 2 janvier 2012 E-Bahut Signaler Posté(e) le 2 janvier 2012 Sans être désagréable ces techniques sont du niveau de 1ère? parce que je suis en 1ère. Je ne connais pas en détail le programme de première mais si l'on te donne des études de limites conduisant à des formes indéterminées c'est que tu as du voir en cours les méthodes ou techniques permettant de lever ces indéterminations. La forme 0/0 est assez particulière et dans les cas où l'utilisation des formes conjuguées des numérateurs et dénominateurs n'aboutit pas il est recommandé d'utiliser la techniques des accroissement ou nombres dérivés des numérateurs et dénominateurs connue sous le nom de règle de l'Hôpital. Il y a peut être une autre méthode pais pour la première limite je n'ai pas trouve plus simple. Mais je comprend toujours pas comment tu as fais pour trouver h'(x) et g'(x) h(x)=√(x+2)-2 ==> h'(x)=1/(2*√(x+1)) g(x)=√(x+7)-3==>g'(x)=1/(2*√(x+7)) ==> lorsque x->2 lim(h(x)/g(x))=lim(h'(x)/g'(x))=√(x+7)/√(x+2)=√(9/4)=3/2
j-l Posté(e) le 2 janvier 2012 Auteur Signaler Posté(e) le 2 janvier 2012 D'accord tout est clair. Je te remercie Barbidoux.
Messages recommandés
Archivé
Ce sujet est désormais archivé et ne peut plus recevoir de nouvelles réponses.