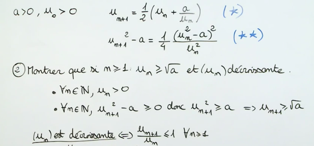
C8H10N4O2 Posté(e) le 11 décembre 2019 Signaler Posté(e) le 11 décembre 2019 Bonsoir à tous ! Ma question est la suivante : dans quels cas la variation d'une suite se détermine par l'étude du signe de (Un+1 - Un) ? Et dans quels cas par l'étude du signe de Un+1 / Un . Par exemple j'étudie en ce moment la démonstration de la méthode de Héron pour trouver une approximation de la racine carrée d'un nombre a et il s'agit de montrer que la suite des longueurs des rectangles successifs est décroissante. Et je ne comprends pas pourquoi on étudie Un+1 / Un. plutôt que (Un+1 - Un) .
E-Bahut Barbidoux Posté(e) le 11 décembre 2019 E-Bahut Signaler Posté(e) le 11 décembre 2019 Pour déterminer le sens de variation On compare un+1 et un en étudiant soit leur différence soit leur rapport selon la difficulté de l'évaluation de l'une ou de l'autre. Dans la cas présent comme un>0 on peut écrire soit : un+1=(1/2)(un+a/un) <===>2*(un+1-un)=a/un-un et comme un≥√a ==> 2*(un+1-un)≤0 ==> suite décroissante soit : un+1/un=(1/2)*(1+a/un2) et comme un≥√a ==> un+1/un≤1==> suite décroissante
C8H10N4O2 Posté(e) le 12 décembre 2019 Auteur Signaler Posté(e) le 12 décembre 2019 Il y a 14 heures, Barbidoux a dit : Pour déterminer le sens de variation On compare un+1 et un en étudiant soit leur différence soit leur rapport selon la difficulté de l'évaluation de l'une ou de l'autre. D'accord, je me demandais s'il existait un autre critère qui commandait d'étudier soit l'un soit l'autre en dehors du côté pratique. Merci !
E-Bahut Barbidoux Posté(e) le 12 décembre 2019 E-Bahut Signaler Posté(e) le 12 décembre 2019 Il y aussi lorsque, lorsque les termes de la suite sont définis à partir d'une fonction, l'étude du sens de variation de la fonction associée. C'est le cas l'exemple donné puisque un+1=(1/2)(un+a/un) =f(un). L'étude du signe de la dérivée f(x)=(1/2)*(x+a/x) que l'on utilise dans un raisonnement par récurrence pour comparer un+1 et un permet de démontrer que la suite est décroissante.
Messages recommandés
Archivé
Ce sujet est désormais archivé et ne peut plus recevoir de nouvelles réponses.