FelicitySevilla59 Posté(e) le 7 décembre 2019 Signaler Posté(e) le 7 décembre 2019 Bonjour est-ce que quelqu’un pourrait m’aider pour un devoir maison de mathématiques svp merci
E-Bahut Barbidoux Posté(e) le 7 décembre 2019 E-Bahut Signaler Posté(e) le 7 décembre 2019 il a déjà été en partie répondu à ta demande là .....
FelicitySevilla59 Posté(e) le 8 décembre 2019 Auteur Signaler Posté(e) le 8 décembre 2019 Bonjour, oui je sais mais j’arrive pas à faire les autres , vous pourriez m’aider à les fairs svp merci
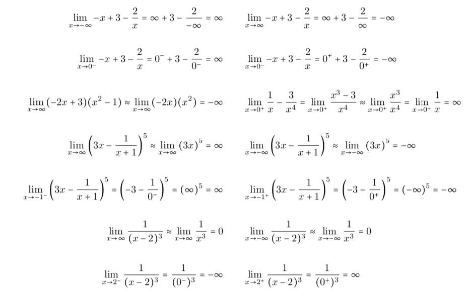
E-Bahut Barbidoux Posté(e) le 8 décembre 2019 E-Bahut Signaler Posté(e) le 8 décembre 2019 Il y a 2 heures, FelicitySevilla59 a dit : Bonjour, oui je sais mais j’arrive pas à faire les autres , vous pourriez m’aider à les fairs svp merci a vérifier quand même.....
volcano47 Posté(e) le 9 décembre 2019 Signaler Posté(e) le 9 décembre 2019 ceci prouve Felicity Sevilla que ta méthode ne te mène à rien : tu "pompes" les solutions de Barbidoux et ensuite, l'exercice suivant, tu as les mêmes problèmes. Il faut mieux apprendre le cours , proposer des solutions et voir ce qui n' a pas été réussi et pourquoi (ce qu'on appelle le "corrigé") Il semble que ce que tu as à savoir ce résume à quelques propriétés de base: comme 1/x -----> 0 pour x------> +/- ou bien 1/x -----> +/- pour x------> 0 (selon que x est positif ou négatif) ou encore que x^n/x^p se comporte pour x-----> comme x^(n-p) (est équivalent au rapport des termes de plus hauts degrés)….etc.... Regarde ton cours et regarde des sites internet si tu veux car les solutions à recopier ne te serviront à rien.
Messages recommandés
Archivé
Ce sujet est désormais archivé et ne peut plus recevoir de nouvelles réponses.