Nxmrtnzzzz Posté(e) le 25 novembre 2019 Signaler Posté(e) le 25 novembre 2019 Bonjour j’ai ces 3 exercice a faire pour jeudi et j’´ai commencer par le premier et c’est problematique
E-Bahut julesx Posté(e) le 25 novembre 2019 E-Bahut Signaler Posté(e) le 25 novembre 2019 Bonjour, Pour l'exercice 77, il faut simplement voir que, tous les 100 ans, la proportion de carbone 14 diminue de 1,23%, donc que la proportion est multipliée par (1-1,123/100). Au bout de n centaines d'années, la proportion d'isotopes qui est désintégrée est donc de (1-1,23/100)n %. Comme on définit la demi-vie par 50% de désintégration, la valeur de n correspondante est telle que (1-1,23/100)n 0,50. Pour les questions suivantes, c'est du calcul.
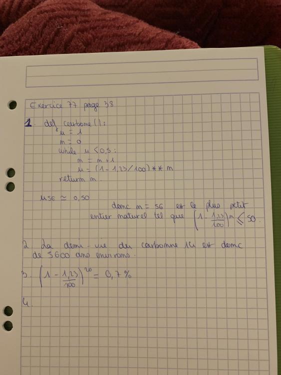
Nxmrtnzzzz Posté(e) le 25 novembre 2019 Auteur Signaler Posté(e) le 25 novembre 2019 il y a 3 minutes, julesx a dit : Bonjour, Pour l'exercice 77, il faut simplement voir que, tous les 100 ans, la proportion de carbone 14 diminue de 1,23%, donc que la proportion est multipliée par (1-1,123/100). Au bout de n centaines d'années, la proportion d'isotopes qui est désintégrée est donc de (1-1,23/100)n %. Comme on définit la demi-vie par 50% de désintégration, la valeur de n correspondante est telle que (1-1,23/100)n 0,50. Pour les questions suivantes, c'est du calcul. J’ai reussi les autres question sauf la derniere j’ai essayer plusieurs calcul mais ils ne sont pas bon Et desoler mais je relie votre raiponse mais sa ne me dit pas comment montrer que n est le plus petit entier naturel tel que (1-1.23/100)n<0,50
Nxmrtnzzzz Posté(e) le 25 novembre 2019 Auteur Signaler Posté(e) le 25 novembre 2019 En plus de la consigne de l’exercice j’ai pour consigne de traduire cet algorithme en python j’ai donc pour l’instant ces reponses mais je ne suis pas sur de moi
E-Bahut julesx Posté(e) le 25 novembre 2019 E-Bahut Signaler Posté(e) le 25 novembre 2019 La proportion d'isotopes est une suite géométrique de raison 1-1,23/100. Comme cette raison est inférieure à 1, la suite est décroissante. Jusqu'à une certaine valeur de n, la proportion reste supérieure à 50%, et au delà elle devient inférieure à cette valeur. n est donc bien définie par la plus petite valeur telle que (1-1,23/100)n 0,50. 2) OK pour 5600 ans. 3) C'est 0,78 donc 78 %. 4) Il faut calculer n pour avoir 40 % de proportion, soit résoudre (1-1,23/100)n=0,40. Mais là, je me déconnecte. Merci à un autre intervenant de prendre le relais.
E-Bahut julesx Posté(e) le 26 novembre 2019 E-Bahut Signaler Posté(e) le 26 novembre 2019 Petite rectification : Il y a une erreur de transcription dans ton programme Python, c'est While u >0.5 :. A noter que Python retourne 57 car u(56)=0,500038... dons légèrement supérieur à 0,5. Pour la 3), comme on demande une valeur à 0,1% près, la bonne valeur est 78,1%.
E-Bahut pzorba75 Posté(e) le 26 novembre 2019 E-Bahut Signaler Posté(e) le 26 novembre 2019 Pour le programme Python définissant la suite (un) : In [6]: def terme_u(n): ...: u=1 ...: for i in range(2,n+1): ...: u=2*u+1 ...: return u ...: print(terme_u(1),terme_u(2),terme_u(3)) 1 3 7
Messages recommandés
Archivé
Ce sujet est désormais archivé et ne peut plus recevoir de nouvelles réponses.