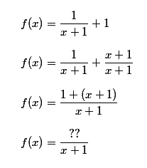
E-Bahut PAVE Posté(e) le 6 janvier 2018 E-Bahut Signaler Posté(e) le 6 janvier 2018 23 heures viennent de sonner au clocher du village et à mon grand âge, je dois aller me coucher pour être en forme demain... A demain matin si tu veux. Bonne nuit. il y a 1 minute, Shrek a dit : Ok (1+x)/(1+x) Non toujours pas !! C'est la formule magique qui permet de passer directement de x à f(x) !! f(1) = (1+2)/ (1+1) = 3/2 f(-2) = (-2+2)/(-2+1) = 0/(-1) = 0 etc.
Shrek Posté(e) le 6 janvier 2018 Auteur Signaler Posté(e) le 6 janvier 2018 Je sais (2+x)/(1+x) Bonne nuit A demain
E-Bahut PAVE Posté(e) le 6 janvier 2018 E-Bahut Signaler Posté(e) le 6 janvier 2018 il y a 1 minute, Shrek a dit : Je sais (2+x)/(1+x) oui mais on écrira plutôt une EGALITE pour savoir ce qu'est ce truc obtenu et on ordonnera x+2 au lieu de 2+x. soit f(x) = (x+2)/(x+1) NB le dénominateur d'une fraction ne peut pas être égal à 0 donc x+1 0 soit x-1 (voir question 3 !!) Bonne nuit (bis)
E-Bahut PAVE Posté(e) le 7 janvier 2018 E-Bahut Signaler Posté(e) le 7 janvier 2018 Citation J ai fais (-1/5) -1 ce qui donne 1.2 Tu crois vraiment
E-Bahut PAVE Posté(e) le 7 janvier 2018 E-Bahut Signaler Posté(e) le 7 janvier 2018 Lis d'abord les messages qui précèdent.... Synthèse finale
Shrek Posté(e) le 7 janvier 2018 Auteur Signaler Posté(e) le 7 janvier 2018 Donc le résultat c est 3/2
E-Bahut PAVE Posté(e) le 7 janvier 2018 E-Bahut Signaler Posté(e) le 7 janvier 2018 Il y a 1 heure, Shrek a dit : Donc le résultat c est 3/2 Le résultat à la question posée c'est 3/2 mais encore faut-il savoir quelle est la question... De l'utilité de REDIGER !! Bon courage pour mettre en forme ton devoir.
Messages recommandés
Archivé
Ce sujet est désormais archivé et ne peut plus recevoir de nouvelles réponses.