Shrek Posté(e) le 6 janvier 2018 Signaler Posté(e) le 6 janvier 2018 J ai un problème avec cette exercice alors ils disent pour un nombre X, on note f(X) le nombre obtenu par l algorithme suivant appliqué à X saisir X Affecter a Y la valeur X+1 affecter à Z la valeur 1 sur Y affecter a F la valeur Z+1 afficher F 1. Montrer que l’on a : f(1)= 3 sur 2 2.Calculer f(-2) et f(2sur3). 3.determiner le nombre pour lequel on ne peut pas utiliser ce programme de calcul 4. Pour X différent du nombre trouvé dans l’a question précédente , exprimer f( X) en fonction de X. 5. Existe-t-il un nombre X tel que f(X)=-4 6. Existe-t-il un nombre X tel que f(X)=1
E-Bahut PAVE Posté(e) le 6 janvier 2018 E-Bahut Signaler Posté(e) le 6 janvier 2018 Bonsoir, je ne vois pas où tu peux éprouver des difficultés... Dis ce que tu as fait ou essayé de faire à la première question.... c'est élémentaire !
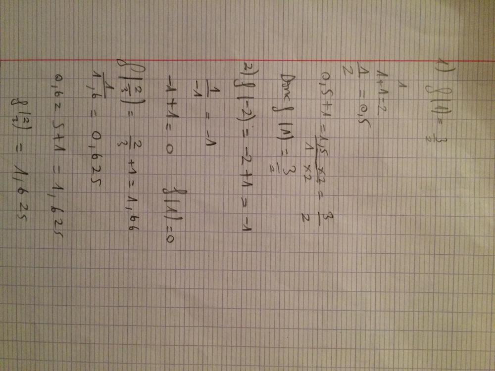
Soulayyy Posté(e) le 6 janvier 2018 Signaler Posté(e) le 6 janvier 2018 Bonsoir Je suis dans sa classe et j'ai essayé de le faire je vous envoie de suite ce que j'ai fait ou essayer de faire
E-Bahut PAVE Posté(e) le 6 janvier 2018 E-Bahut Signaler Posté(e) le 6 janvier 2018 A Soulay, D'accord pour le début mais sincèrement.... comprenne qui pourra car c'est fort mal rédigé (comprendre pas rédigé du tout ) Pour f(2/3) la valeur trouvée est fausse (valeur approchée !!). Il faut faire les calculs avec les valeurs exactes... Par ailleurs ta réponse à la question 6 (où sont tes réponses aux questions 3, 4 et 5 ??) ne tient pas la route !! (avec une monstruosité en prime : un dénominateur ne peut pas être pris égal à ZÉRO
Shrek Posté(e) le 6 janvier 2018 Auteur Signaler Posté(e) le 6 janvier 2018 VOila pourquoi nous avon besoin de ton aide car soulayyyy et un ami il essai de le faire avec moi
E-Bahut PAVE Posté(e) le 6 janvier 2018 E-Bahut Signaler Posté(e) le 6 janvier 2018 Alors à vous deux vous allez bien pouvoir refaire le calcul de f(2/3) correctement (avec les valeurs intermédiaires exactes), de préférence en rédigeant / présentant bien les différents calculs. L'énoncé utilise des noms y, z et f pour désigner les valeurs intermédiaires... servez vous en ! (d'autant que cela vous sera fort utile pour bien comprendre le processus et donc le généraliser... à la question 4).
Shrek Posté(e) le 6 janvier 2018 Auteur Signaler Posté(e) le 6 janvier 2018 Tu m a perdu je croiyais comprendre mais non je pensais qu il fallait remplacer y,z et f par des nombre
E-Bahut PAVE Posté(e) le 6 janvier 2018 E-Bahut Signaler Posté(e) le 6 janvier 2018 En rédigeant, tu seras moins perdu....
Shrek Posté(e) le 6 janvier 2018 Auteur Signaler Posté(e) le 6 janvier 2018 Alors voilà se que j’ai fait pour le 1.et le 2 Mais je ne sais pas comment faire pour trouver le nombre que on n’en peut pas utiliser
Shrek Posté(e) le 6 janvier 2018 Auteur Signaler Posté(e) le 6 janvier 2018 J’ai continuer avec le 5 et le 6 mais le 3 et 4 je n y arrive pas
E-Bahut PAVE Posté(e) le 6 janvier 2018 E-Bahut Signaler Posté(e) le 6 janvier 2018 Pas d'accord pour f(2/3). J'avais dit à Soulay : Citation Pour f(2/3) la valeur trouvée est fausse (valeur approchée !!). Il faut faire les calculs avec les valeurs exactes... On part de x = 2/3, donc y = 2/3 +1 = 5/3. Comme z = 1/y (z est l'inverse de y) alors z = 3/5 etc.... Question 3: Dans le processus d'obtention de f(x), la seule étape qui pourrait poser problème c'est quand on prend l'inverse de y car le nombre 0 n'a pas d'inverse ! Donc on ne peut pas avoir y = 0 or y = x+1 donc on ne peut pas avoir x+1 = 0 donc pas avoir x= -1 !! Conclusion on ne peut pas donner à x la valeur -1. à suivre
Shrek Posté(e) le 6 janvier 2018 Auteur Signaler Posté(e) le 6 janvier 2018 Il faut faire1sur5/3 alors Mais il y a un problème car j’évite l ai fait avec -1 moi aussi j’ai pensé mais regarde le 6 le nombre avec quoi on commence c’est -1
E-Bahut PAVE Posté(e) le 6 janvier 2018 E-Bahut Signaler Posté(e) le 6 janvier 2018 à l’instant, Shrek a dit : Il faut faire1sur5/3 alors oui si tu veux mais 1/(5/3) = 1*(3/5) = 3/5 !! Plus simplement l'inverse de a/b est...b/a D'où f = ?? Finis cela et si c'est bon on attaque la question 4 (je t'ai donné la solution de la 3, dans un précédent message) qui est la seule un peu plus délicate.... à trouver.
Shrek Posté(e) le 6 janvier 2018 Auteur Signaler Posté(e) le 6 janvier 2018 F =a 8/5 Et pour la 4 on doit faire comment
E-Bahut PAVE Posté(e) le 6 janvier 2018 E-Bahut Signaler Posté(e) le 6 janvier 2018 F =a 8/5 c'est quoi ce a ?
Shrek Posté(e) le 6 janvier 2018 Auteur Signaler Posté(e) le 6 janvier 2018 Dans la question 5 il faut choisir -6 car f(X)=-4 donc on fait -4-1=-5 -5x1=5 -5-1=-6 Désolé j’ai du le touché avec le clavier Pour le « a »
E-Bahut PAVE Posté(e) le 6 janvier 2018 E-Bahut Signaler Posté(e) le 6 janvier 2018 Question 4 On part de x quelconque. Pour obtenir y on ajoute 1 à x : y = x+1 Pour obtenir z on prend l'inverse de y soit z = 1/y = 1/(x+1) Enfin pour avoir f.... Je te laisse finir... Pense à écrire le résultat sous forme d'une fraction unique (mise au même dénominateur)
E-Bahut PAVE Posté(e) le 6 janvier 2018 E-Bahut Signaler Posté(e) le 6 janvier 2018 oui si on veut mais d'abord c'est f et pas F et je t'ai dit de mettre ce résultat qui est une somme de 2 termes, sous forme d'une fraction unique f(x) = N/B
Shrek Posté(e) le 6 janvier 2018 Auteur Signaler Posté(e) le 6 janvier 2018 Alors je pense que sais 1+x/1+x
E-Bahut PAVE Posté(e) le 6 janvier 2018 E-Bahut Signaler Posté(e) le 6 janvier 2018 Question 5 : f(x) = -4 On peut comme tu as essayé de le faire "remonter la chaîne des opérations successives z = f-1 = -5 d'accord y = 1/z = 1/(-5) = -1/5 (si z est l'inverse de y alors y est l'inverse de z !!) x = y -1 = Je te laisse finir.... Et pense à vérifier en repartant dans le sens de l'algorithme... il y a 3 minutes, Shrek a dit : Alors je pense que sais 1+x/1+x C'est faux ! (tu confonds être et savoir c'est ainsi que tu sais ?)
Shrek Posté(e) le 6 janvier 2018 Auteur Signaler Posté(e) le 6 janvier 2018 JE n est pas compris il n’es fallait pas faire une multiplication au lieu de l’an division
E-Bahut PAVE Posté(e) le 6 janvier 2018 E-Bahut Signaler Posté(e) le 6 janvier 2018 il y a 6 minutes, Shrek a dit : JE n est (verbe avoir : je n'ai pas ) pas compris il n’es fallait pas faire une multiplication au lieu de l’an division ????? A mon tour de ne pas comprendre ce que tu veux dire !! Quand on ne peut pas tirer de trait de fraction, les parenthèses sont obligatoires : ax +b sur cx +d doit s'écrire OBLIGATOIREMENT (ax+b) /(cx+d)
Shrek Posté(e) le 6 janvier 2018 Auteur Signaler Posté(e) le 6 janvier 2018 Ok (1+x)/(1+x) ET pour la 4 la réponse est soit 1,2 ou -1,2 je ne sais pas car le signe négatifs et au-dessus ou en dessous J ai fais (-1/5) -1 ce qui donne 1.2
Messages recommandés
Archivé
Ce sujet est désormais archivé et ne peut plus recevoir de nouvelles réponses.