Aller au contenu

Analyse (Continuité/Fonction hyperbolique/Fonction..)


Ch00Ch00

Messages recommandés

Posté(e)

Bonsoir :) 

Pourriez-vous vérifier ce que j'ai fait est-ce bon. Est-ce que ma rédaction est rigoureuse ? 

01_MA12.JPG.7a34cb076afa6075f7f090aeb959128b.JPG02_MA12.JPG.0b96beb19a8bb7c1268f0b4ea8ecd7ce.JPG03_MA12.JPG.4e75f993ea39900fd0a72512dbf75c20.JPG04_MA12.JPG.74c40fdee02e313b0c2947655a71af79.JPG05_MA12.JPG.5d6504d78ce33e00acf7d4de937103d1.JPG

 

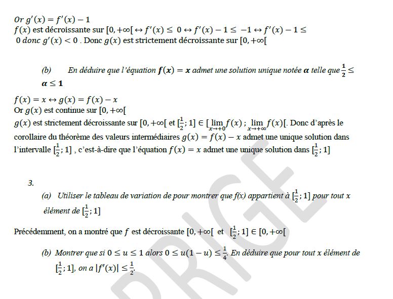
Exercice 2-c: Je ne vois pas comment étudier les variations, après avoir dérivée la fonction 

Exercice 3-2(a/b): Je ne vois pas comment faire. Il y a le TVI (théorème des valeurs intermédiaires). 

Exercice 4-1: Je ne vois pas comment noté f

Merci d'avance,

Ch00Ch00,

  • E-Bahut
Posté(e)

Pour 3.2a

g(x)=2e^(-x)-e^(-2x)-x

g'(x)=-2e^(-x)+2e^(-2x)-1

g''(x)=2e^(-x)-4e^(-2x)=2e^(-x)*(1-2e^(-x))

g''(ln2)=0 g''(x)<0 x in[0;ln2] et g''(x)>0 si x>ln(2) avec g''(0)=-2 lin{x->infty}g''(x)=0 (à justifier bien entendu)

Tu obtiens ensuite le signe de g'(x) et les variations de g.

3.éb

TVI en démontrant que g décroit sur[0;+infty} de [1;-\infty]

 

C'est du calcul un peu "bourrin" mais compte tenu de ta façon de rédiger, sans difficulté particulière.

À toi de terminer, en vérifiant ce que je viens de poster.

Posté(e)

Bonjour,

Exercice 4 Je note f* la fonction f prolongée par continuité au point d'abscisse 1. Elle est définie comme suit :

=(x-1)/(x2-3x+2) si x<1

=-1 si x=1

=x2-2 si x>1

Vous calculez la dérivée dans chaque intervalle et vous regardez si elle est ou non continue en x=1.

Posté(e)

Exercice 2 

x->ex continue sur R, oui,

x->-1/x2 continue sur R* oui, 

vous en concluez : par composition x->exp(-1/x2) continue sur R. NON

Continue sur le plus petit (au sens de l'inclusion) de R et de R*, donc sur R*. Il faut regarder ce qui se passe quand x tend vers 0.

Même remarque pour la dérivabilité

Exercice 5-1

Il faut conclure. On vous demande de résoudre l'équation.

5-2 chx>=1, oui, mais il faut ajouter "donc positif" car c'est ça l'important pour prendre la racine carrée.

Posté(e)

Bonsoir, 

Merci pzorba75 et JLN.

01_MA12.JPG.5ae8c8429c89c281caa7eef71cf0e537.JPG02_MA12.thumb.JPG.4c13bdddea433a297dd1663e63e468d8.JPG

03_MA12.thumb.JPG.6f67a9679ebbaea96d8cee017e87e890.JPG

Exercice 1: corrigé 

Exercice 2: voici ce que j'ai fait

Exercice 3: j'ai essayé de faire une autre méthode mais je ne pense pas que ça soit la bonne. 

Merci d'avance,

Ch00Ch00, 

Posté(e)

Exercice 1 Vous avez corrigé une étourderie, pas l'autre. La dérivée de (x+1)2 est 2(x+1) qui n'est pas égal à 2x+1. :mellow:

Exercice 2 En toute rigueur c'est la fonction f* dont on calcule la dérivée en 0. f(0) n'existe pas, mais f*(0), oui,  égal à 0.

Souvent on ne fait pas la distinction, on identifie f à son prolongement, mais ici, ce n'est pas dans l'esprit de l'énoncé. 

A titre de complément, cette fonction est indéfiniment dérivable (par continuité) en 0 et toutes ses dérivées y sont nulles. C'est un exemple classique de fonction qui ne coïncide pas avec son développement de Taylor au voisinage d'un point. Ce développement est  identiquement nul alors que la fonction ne l'est pas.

Posté(e)

Exercice 3-2a Très bien. On fait la somme de 2 termes négatifs, le résultat (i.e. la dérivée de g) est négatif.

Ce qui est dommage, c'est qu'en 3-1a vous ne démontrez pas que f est décroissante. Ce n'est pas parce que f(0)>f(+oo) qu'une fonction est décroissante.

Il faut étudier le signe de f'(x). Conseil : mettez e-x en facteur dans l'expression de f'.

Posté(e)

Bonjour JLN

Merci pour votre aide. 

01.JPG.286efb5d1876d626836e971c2510b106.JPG

02.JPG.9230e5ca93dd31edaff0d090c88c7b33.JPG

Exercice 1-2: J'ai corrigé l'étouderie dont j'ai oublié :) 

Exercice 3-1: Je viens de démontrer que f est décroissante. J'ai toujours pensais à partir des limites, on pouvait étudier la monotonie d'une fonction. 

Exercice 3-2b: En suivant l'indication de pzorba75, en utilisant le TVI. Si je ne me trompe pas, on doit utiliser le corollaire du théorème des valeurs intermédiaires (car on cherche à duire que l'équation f(x)=x admet une solution unique). 

Exercice: 3-3a: Je ne pense pas que ça soit la réponse attendue. 

Merci, 

Ch00Ch00

Posté(e)

Bonjour Ch00Ch00,

3-2b Au début (petit oubli): f(x)=x implique g(x)=f(x)-x=0

Ensuite on applique effectivement un corollaire du TVI. Le TVI nous dit qu'une fonction g, continue sur [a,b] prend, au moins une fois, toute valeur comprise, au sens large, entre g(a) et g(b).

Le  corollaire en question  nous dit  de plus, que si g est monotone, elle prend une fois et une seule, toute valeur entre g(a) et g(b).

0 sera parmi ces valeurs si, et seulement si, g(a) et g(b) sont de signes contraires (ou, trivialement, si l'un des 2 est nul). Vous oubliez de le montrer.

Pour g(0) et g(+oo), facile, pour g(1/2) et g(1), il faut la calculette.

3-3a On a g(1) <= g(x)<=g(1/2), ce qui équivaut à g(1) +x<= f(x)<=g(1/2)+x, pour tout x de [1/2, 1]

Pour x=1 on a donc g(1) +1<= f(1), or 1/2 <= g(1) +1 (cf calcul de g(1) ci-avant)

Pour x=1/2 on a   f(1/2)<=g(1/2) +1/2, or  g(1/2) +2<=1 (cf calcul de g(1/2) ci-avant)

Comme f est strictement décroissante, il en résulte que pour tout x de [1/2, 1], 1/2<=f(1)<=f(x)<=f(1/2)<=1

3-3b C'est un résultat classique bien connu : si x et y positifs ont une somme constante, leur produit est maximum quand x=y.

Ici, u=1-u  implique u=1/2 et le max de u(1-u) sur |0,1] est donc 1/4.

Très facile à redémontrer si on a oublié (étudier rapidement les variations de u(1-u) sur l'intervalle considéré)

Appliquer ensuite à f'(x) en posant u=e-x

 

  • E-Bahut
Posté(e)

Bonjour JLN,

Deux petites remarques :

* Dans le 1)a),  la 3ème ligne est incorrecte car il y a un e-x-1>0 quel que soit x de R, ce qui est faux. La suite est également à revoir.

* Dans le 3)2)b), on peut éventuellement se passer de la calculette.

g(1)=2/e-1/e²-1=-(1/e-1)² qui est négatif

g(1/2)=2/√e-1/e-1/2=1/√e-1/e+1/√e-1/2

1/√e-1/e>0 car e-x est décroissante pour x>0

e<4 => 1/√e>1/2 soit 1/√e-1/2>0

g(1/2) est donc la somme de deux termes positifs, d'où g(1/2)>0.

Cela dit, c'est juste au cas où l'auteur de l'énoncé ferait un rejet vis à vis des calculettes.

 

 

Posté(e)

Bonjour jules x,

J'avais "zappé" le 1-a en effet. Il faut toujours lire tout, et  en détail...

Pour le reste (la calculette), j'avoue aussi avoir cédé à la facilité, et il est vrai que le jour de l'examen, si la calculatrice est interdite, il faut bien faire autrement. 

Archivé

Ce sujet est désormais archivé et ne peut plus recevoir de nouvelles réponses.

×
×
  • Créer...
spam filtering
spam filtering