Ch00Ch00 Posté(e) le 3 novembre 2016 Signaler Posté(e) le 3 novembre 2016 Bonjour à tous, J'ai des exercices à faire pour demain, mais je suis bloqué voir je n'ai aucune idée pour les résoudre. Je vous remercie d'avance pour vos aides, je joins une photo de l'énoncé de mes exercice s. L'exercice 1: 1) J'utilise le discriminant dans le plan complexe. b^2 - 4ac = (-2cos(O))^2 - 4 * 1 *1 = 4cos^2(O) - 4 Pourriez vous me dire si le discriminant est bon ? Merci, 2) Je ne sais pas Exercice 2: 1) Pour la première, je n'ai pas compris l'énoncé. 2) On a j= ei2π/3 f Le conjugué de j = e-i2π/3 = e4π/3 j^2 = ( ei2π/3 )^2 = e4π/3 On a donc bien le conjugué de j = j^2. Je n'arrive pas à vérifier que 1 + j + j^2 = 0 e^0 + e4π/3 + e4π/3 3) Je sais comment faire, mais je suis juste pour la racine n-ième. z^n = z <=> Iz^nI = I z I arg(z^n) = arg(z) + 2kπ, k appartenant à Z z^3 = 8 I 8 I = 8 8e^iO Je suis bloqué pour l'exponentielle 8e^0 revient à 8. Merci pour vos aides, Pourriez vous m'aider, en me donnant plus d'explications et ce que je devrais faire. Merci beaucoup,
Ch00Ch00 Posté(e) le 3 novembre 2016 Auteur Signaler Posté(e) le 3 novembre 2016 Bonjour, Pourriez vous me dire sic'est juste ou pas. Merci d'avance, J'ai réussi pour 1+j+j^2 = 0 Mais pour les autres questions, je n'arrive pas à trouver la solution. Merci,
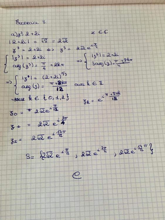
Ch00Ch00 Posté(e) le 3 novembre 2016 Auteur Signaler Posté(e) le 3 novembre 2016 Veuillez m'excuser, est-ce qu'un modérateur/administrateur pourrait supprimer ce post, s'il vous plait. Je vais re posté, en plus clair mes exercices. Veuillez m'excuser pour la gêne occasionné.
E-Bahut pzorba75 Posté(e) le 3 novembre 2016 E-Bahut Signaler Posté(e) le 3 novembre 2016 4cos2(theta)-4=4(cos2(theta)-1)=-4sin2(theta)=(i*sin(theta))2.
E-Bahut Barbidoux Posté(e) le 3 novembre 2016 E-Bahut Signaler Posté(e) le 3 novembre 2016 Salut Zorba 1------------ Racines x=cos(a)-i*sin(a)=exp(-i*a) et x=cos(a)+i*sin(a)=exp(i*a) on pose x^n=y x^n=exp(-i*a+2*k*π) ==> solutions {(-i*a+2*k*π)/n } x^n=exp(i*a+2*k*π) ==> solutions {(i*a+2*k*π)/n } 2.1----------- z^3=1=exp(2*k*π*i) solution z sont exp(2*k*π*i/3) avec k=0,1,2 soit {1,exp(2*π*i/3), exp(4*π*i/3)} 2.2----------- j=exp(2*π*i/3) ==> j^2=exp(4*π*i/3) Jbarre=exp(-2*π*i/3)=exp(2*π*i-2*π*i/3)=exp(4*π*i/3)=j^2 -------- 1+j+j^2=1+j+jbarre=1+2*cos(2π/3)=0 2.3---------- poser x^3=8*exp(2*i*π) solution {2, 2 exp(2*I*π/3), 2 exp(4*I*π/3)} 3------------ Mettre sous la forme exponentielle
Ch00Ch00 Posté(e) le 3 novembre 2016 Auteur Signaler Posté(e) le 3 novembre 2016 il y a une heure, pzorba75 a dit : 4cos2(theta)-4=4(cos2(theta)-1)=-4sin2(theta)=(i*sin(theta))2. Bonsoir Pzorba75, Merci pour votre aide, je ne vois pas comment vous passez de " 4(cos2(theta)-1) à -4sin2(theta)=(i*sin(theta))2. " Merci d'avance,
Ch00Ch00 Posté(e) le 3 novembre 2016 Auteur Signaler Posté(e) le 3 novembre 2016 il y a une heure, Barbidoux a dit : Salut Zorba 1------------ Racines x=cos(a)-i*sin(a)=exp(-i*a) et x=cos(a)+i*sin(a)=exp(i*a) on pose x^n=y x^n=exp(-i*a+2*k*π) ==> solutions {(-i*a+2*k*π)/n } x^n=exp(i*a+2*k*π) ==> solutions {(i*a+2*k*π)/n } 2.1----------- z^3=1=exp(2*k*π*i) solution z sont exp(2*k*π*i/3) avec k=0,1,2 soit {1,exp(2*π*i/3), exp(4*π*i/3)} 2.2----------- j=exp(2*π*i/3) ==> j^2=exp(4*π*i/3) Jbarre=exp(-2*π*i/3)=exp(2*π*i-2*π*i/3)=exp(4*π*i/3)=j^2 -------- 1+j+j^2=1+j+jbarre=1+2*cos(2π/3)=0 2.3---------- poser x^3=8*exp(2*i*π) solution {2, 2 exp(2*I*π/3), 2 exp(4*I*π/3)} 3------------ Mettre sous la forme exponentielle Merci pour votre aide Barbidoux, Ah d'accord, je vois mes erreurs. Merci beaucoup,
Messages recommandés
Archivé
Ce sujet est désormais archivé et ne peut plus recevoir de nouvelles réponses.