LéaC Posté(e) le 20 novembre 2015 Signaler Posté(e) le 20 novembre 2015 Bonjour à tous, j'ai besoin d'aide pour un exercice de physique-chimie. A) On considère la formule topologique d'une molécule de phéromone qui appartient à un insecte nuisible pour les conifères: 1) Donner la formule semi-développée et la formule brute de cette molécule. 2) Cette molécule possède-t-elle des diastéréoisomères Z et E? 3) Cette molécule possède un carbone asymétrique. Préciser lequel et donner les représentations de Cram pour les molécules des deux énantiomères. Vous pouvez représenter le groupement ayant un grand nombre de carbone par sa formule brute. 4) Pour attirer ces insectes nuisibles vers des forêts non exploitées, on les attire à l'aide de pièges renfermant une solution de la molécule de phéromone de 10-15 g.L-1 . Calculer la concentration molaire d'une telle solution. On donne les masses atomiques en g.mol-1 : M(H)=1; M(C)=12 et M(O)=16 B) Les acides a-aminés possèdent une fonction acide carboxylique et, greffé sur le carbone voisin de cette fonction, un groupement amino (NH2) . 1) Donner la formule, la plus simple possible, de l'acide a-aminés qui ne possède pas de carbone asymétrique. Existe-t-il d'autres acides a-aminés qui ne possèdent pas de carbone asymétrique? Si oui, donner un exemple. 2) Donner la formule, la plus simple possible, de l'acide a-aminés qui possède un seul carbone asymétrique. Dessiner les représentations de Cram pour les molécules des deux énantiomères C) On a représenté ci-dessous les formules topologiques dans l'espace (avec les conventions de la représentation de Cram) d'une molécule qui possède deux carbones asymétriques. 1) Traduire chaque formule topologique en représentation de Cram en rajoutant les symboles des atomes d'hydrogène et les liaisons vers les atomes d'hydrogène. 2) Vous devrez ensuite préciser, en justifiant votre affirmation, pour chacune des flèches, si elles relient des énantiomères ou des diastéréoisomères. Merci d'avance pour votre aide!
E-Bahut Barbidoux Posté(e) le 20 novembre 2015 E-Bahut Signaler Posté(e) le 20 novembre 2015 A) On considère la formule topologique d'une molécule de phéromone qui appartient à un insecte nuisible pour les conifères: 1) Donner la formule semi-développée et la formule brute de cette molécule. ------------------ (CH3)C=CH-CH2-CH2-CHOH-CH3 C8H16O ==> M(C8H167O)=8*12+16+16=128 g/mol ------------------ 2) Cette molécule possède-t-elle des diastéréoisomères Z et E? ------------------ Non deux substituants identiques sur un des carbones de a double liaison ------------------ 3) Cette molécule possède un carbone asymétrique. Préciser lequel (étoile) et donner les représentations de Cram pour les molécules des deux énantiomères. Vous pouvez représenter le groupement ayant un grand nombre de carbone par sa formule brute. ------------------ 4) Pour attirer ces insectes nuisibles vers des forêts non exploitées, on les attire à l'aide de pièges renfermant une solution de la molécule de phéromone de 10-15 g.L-1 . Calculer la concentration molaire d'une telle solution. On donne les masses atomiques en g.mol-1 : M(H)=1; M(C)=12 et M(O)=16 ------------------ Cm=1*10^(-15)/128=7.81*10^(-18) mol/L ------------------ B) Les acides a-aminés possèdent une fonction acide carboxylique et, greffé sur le carbone voisin de cette fonction, un groupement amino (NH2) . 1) Donner la formule, la plus simple possible, de l'acide a-aminés qui ne possède pas de carbone asymétrique. Existe-t-il d'autres acides a-aminés qui ne possèdent pas de carbone asymétrique? Si oui, donner un exemple. ------------------ La quasi totalité des acides aminés possèdes un carbone asymétrique seule la glycine NH2-CH2-COOH ne possède pas de carbone asymétrique ------------------ 2) Donner la formule, la plus simple possible, de l'acide a-aminés qui possède un seul carbone asymétrique. Dessiner les représentations de Cram pour les molécules des deux énantiomères ------------------ NH2-CH(CH3)-COOH ------------------ C) On a représenté ci-dessous les formules topologiques dans l'espace (avec les conventions de la représentation de Cram) d'une molécule qui possède deux carbones asymétriques. 1) Traduire chaque formule topologique en représentation de Cram en rajoutant les symboles des atomes d'hydrogène et les liaisons vers les atomes d'hydrogène. 2) Vous devrez ensuite préciser, en justifiant votre affirmation, pour chacune des flèches, si elles relient des énantiomères ou des diastéréoisomères. ------------------
LéaC Posté(e) le 3 décembre 2015 Auteur Signaler Posté(e) le 3 décembre 2015 Encore une fois merci pour votre aide.
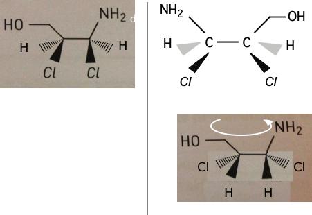
Véroten Posté(e) le 2 mai 2016 Signaler Posté(e) le 2 mai 2016 Bonjour Barbidoux, Pourriez-vous m'expliquer dans la dernière question de ce devoir pourquoi les molécules qui sont reliées par les numéros 5 et 6 sont des énantiomères. Par avance merci.
E-Bahut Barbidoux Posté(e) le 2 mai 2016 E-Bahut Signaler Posté(e) le 2 mai 2016 molécules stéréoisomères images l'une de l'autre dans un miroir plan.
Véroten Posté(e) le 3 mai 2016 Signaler Posté(e) le 3 mai 2016 Bonjour Barbidoux, Je pense que je me suis mal exprimé. Ma question est la suivante : Dans le dernier exercice de ce devoir, les flèches 5 et 6 indiquent que les molécules sont des énantiomères. La définition : molécule qui possède un ou plusieurs carbones asymétriques (pas de soucis) mais ils sont images dans un miroir plan (et là, je ne vois pas !) Je vous remercie par avance pour votre explication.
E-Bahut Barbidoux Posté(e) le 3 mai 2016 E-Bahut Signaler Posté(e) le 3 mai 2016 C'est par ce que les deux isomères sont représentés selon le même axe, il faut un peu d'imagination et faire tourner une des deux représentation de 180° pour obtenir 2 représentations symétriques par rapport à un plan...
Véroten Posté(e) le 3 mai 2016 Signaler Posté(e) le 3 mai 2016 Merci beaucoup pour votre explication. Bien à vous.
Jadou306 Posté(e) le 29 novembre 2019 Signaler Posté(e) le 29 novembre 2019 Bonjour je n'arrive également pas à comprendre comment ça se fait que l'isomère en haut a gauche soit le reflet dans le miroir de celui en bas à droite. J'ai compris vitre explication disant que pour l'isomère en bas a gauche et celui en haut a droite on pouvait tout simplement échanger le HO et le NH2 afin qu'ils soient le reflet l'un de l'autre dans un miroir mais pour celui en haut a gauche et en bas a droite je ne comprends pas car même si l'on echange le HO et le NH2 de position et bien onremarque que le "triangle fonce" donc celui en avant est le Cl pour lui en haut a gauche et le H en bas a droite. Enfaite je ne sais pas quand est ce qu'on a le droit d'inverser les atomes OH et NH2 et CL et H. Merci de votre réponse
E-Bahut Barbidoux Posté(e) le 29 novembre 2019 E-Bahut Signaler Posté(e) le 29 novembre 2019 Il y a 3 heures, Jadou306 a dit : Bonjour je n'arrive également pas à comprendre comment ça se fait que l'isomère en haut a gauche soit le reflet dans le miroir de celui en bas à droite. J'ai compris vitre explication disant que pour l'isomère en bas a gauche et celui en haut a droite on pouvait tout simplement échanger le HO et le NH2 afin qu'ils soient le reflet l'un de l'autre dans un miroir mais pour celui en haut a gauche et en bas a droite je ne comprends pas car même si l'on echange le HO et le NH2 de position et bien onremarque que le "triangle fonce" donc celui en avant est le Cl pour lui en haut a gauche et le H en bas a droite. Enfaite je ne sais pas quand est ce qu'on a le droit d'inverser les atomes OH et NH2 et CL et H. Merci de votre réponse
Messages recommandés
Archivé
Ce sujet est désormais archivé et ne peut plus recevoir de nouvelles réponses.