Aller au contenu

Etude de signe, urgent pour demain


Yoyo92

Messages recommandés

Posté(e)

Bonjour à tous

Je dois résoudre deux inéquations pour faire ensuite une étude de signe mais je n'arrive pas à résoudre les inéquations :

x(9-4x²) / (x²+4)(2x-1) > ou égal à 0

4x-1/3 - 2x+5/6 > ou égal à 9/2+x

C'est un dm à rendre pour demain j'aurais besoin d'aide rapidement s'il vous plait

Merci d'avance !

  • E-Bahut
Posté(e)

Sans être bien certain de ton inéquation 2

4x-1/3 - 2x+5/6 > ou égal à 9/2+x

4x-2x-x>=9/2+1/3-5/6

x>=(27+2-5)/6

x>=24/6

x>=4

Pour l'inéquation 1,

- tu ramènes tout à gauche du signe >+ qui sera suivi de 0,

- tu mets au même dénominateur,

- tu factorises autant que tu peux

et tu termines par un tableau de signes pour conclure.

Au travail.

  • E-Bahut
Posté(e)

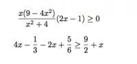
Je dois résoudre deux inéquations pour faire ensuite une étude de signe mais je n'arrive pas à résoudre les inéquations :

x(9-4x²) / (x²+4)(2x-1) > ou égal à 0

4x-1/3 - 2x+5/6 > ou égal à 9/2+x

Voilà ce que tu as écrit :

post-24224-0-17540500-1331022319_thumb.j

est-ce bien les expressions dont tu souhaites étudier le signe ?

post-24224-0-17540500-1331022319_thumb.j

post-24224-0-17540500-1331022319_thumb.j

post-24224-0-17540500-1331022319_thumb.j

post-24224-0-17540500-1331022319_thumb.j

post-24224-0-17540500-1331022319_thumb.j

post-24224-0-17540500-1331022319_thumb.j

post-24224-0-17540500-1331022319_thumb.j

post-24224-0-17540500-1331022319_thumb.j

post-24224-0-17540500-1331022319_thumb.j

post-24224-0-17540500-1331022319_thumb.j

post-24224-0-17540500-1331022319_thumb.j

Archivé

Ce sujet est désormais archivé et ne peut plus recevoir de nouvelles réponses.

×
×
  • Créer...
spam filtering
spam filtering