Aller au contenu

Fonction racine carré


PauPaul

Messages recommandés

Posté(e)

Bonjour, j'aurais besoin d'aide pour cet exercice :

 

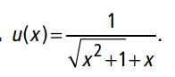
On considère la fonction u définie sur R par image.png.1e86f11afbdec72a0fd0acf58da9b48f.png

1. Déterminer sa limite en -infini

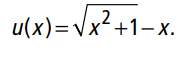
2 Montrer que pour tout x dans R on a image.png.a07f8bb2c813c1b498f869b0c5d3487f.png

3. En déduire la limite en +infini

 

4a. Montrer que pour tout x on a u(x) > 0

4b. Montrer que image.png.8bda222127e5937e8ad3a01da759aae4.png

4c. Déterminer le tableau de variation.

 

Merci beaucoup!

Posté(e)

bonjour

pour 1)

image.png.1e86f11afbdec72a0fd0acf58da9b48f.png

la limite de u(x) en -oo   =   +oo

car   limite de racine de (x²+1)  en -oo c'est +oo

et limite de  -x  en -oo c'est +oo

 

2)

tu multiplies par

[racine(x²+1) + x ] / [racine(x²+1) + x ]             (= 1 donc ne change pas la valeur de l'expression)

tu retrouveras l'expression demandée.

 

3)

sers toi de cette équivalence pour en déduire la limite.

en +oo    la limite = ..........

 

4)

a)

numérateur tjs >0

et dénominateur tjs >0   donc..........

b)

tu calcules la dérivée de U(x)

c)

signe de la dérivée    puis tableau de variations

 

Archivé

Ce sujet est désormais archivé et ne peut plus recevoir de nouvelles réponses.

×
×
  • Créer...
spam filtering
spam filtering