Sonia123 Posté(e) le 14 novembre 2019 Signaler Posté(e) le 14 novembre 2019 Bonsoir aidez moi pour cet exo svp
E-Bahut Barbidoux Posté(e) le 15 novembre 2019 E-Bahut Signaler Posté(e) le 15 novembre 2019 Il ne te reste plus qu'à faire les calculs des modules et arguments à partir des expression littérales
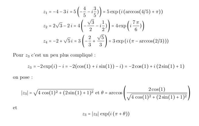
Black Jack Posté(e) le 15 novembre 2019 Signaler Posté(e) le 15 novembre 2019 Bonjour, Rien à redire aux réponses de Barbidoux que je salue. Si on veut, on peut aussi passer par les arctan() pour les arguments ... à condition de savoir ce qu'on fait (voir plus bas ***) z1 = -4 - 3i |z1| = V(4²+3²)=5 arg(z1) = arctan(3/4) - Pi z1 = 5.e^(i*(arctan(3/4)-Pi)) z2 = 2V3 - 2i |z1| = V(12+4) = 4 arg(z2) = arctan(-2/(2V3)) = arctan(-1/V3) = -Pi/6 z2 = 4.e^(-i.Pi/6) z4 = -2 + i.V5 |z4| = V(4+5) = 3 arg(z4) = arctan(-V5 /2) + Pi = Pi - arctan(V5 /2) z4 = 3.e^(i(Pi - arctan(V5 /2))) z3 = -2e^i - 3i Or e^i = cos(1) + i.sin(1) Z3 = -2.cos(1) - 2i.sin(1) - 3i Z3 = -2.cos(1) + i.(-2sin(1) - 3) |z3|² = 4.cos²(1) + (2sin(1) + 3)² = 4cos²(1) + 4sin²(1) + 9 + 12.sin(1) = 13 + 12.sin(1) |z3| = V(13 + 12.sin(1)) arg(z3) = arctan((2sin(1) + 3)/(2.cos(1)) - Pi z3 = V(13 + 12.sin(1)) * e^(i*(arctan((2sin(1) + 3)/(2.cos(1)) - Pi)) ---------- *** calcul d'un argument de z = (a + ib) 1°) Si a > 0 : arg(z) = arctan(b/a) 2°) Si a < 0, arg(z) = arctan(b/a) + pi (ou bien : arctan(b/a) - pi) Si on veut l'argument principal, on choisira : arg(z) = arctan(b/a) + pi si b > 0 arg(z) = arctan(b/a) - pi si b < 0
Messages recommandés
Archivé
Ce sujet est désormais archivé et ne peut plus recevoir de nouvelles réponses.