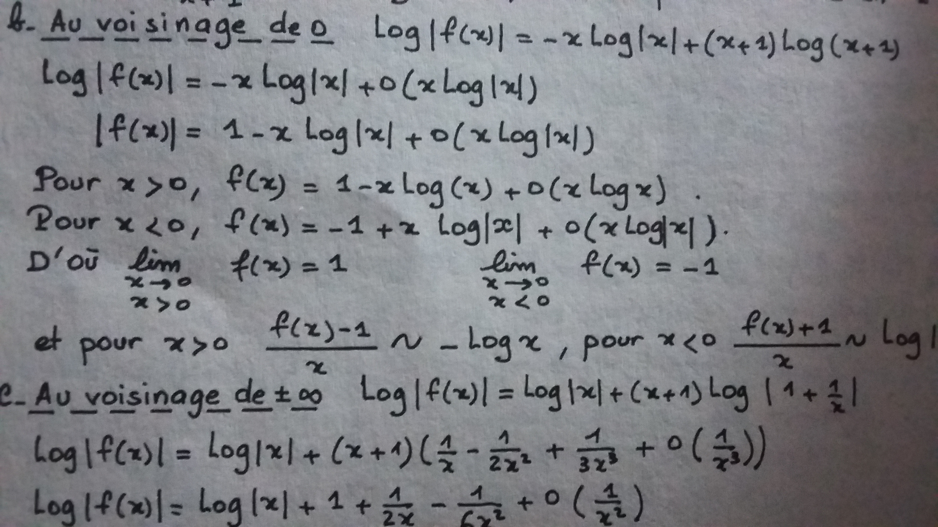
samynac Posté(e) le 25 février 2017 Signaler Posté(e) le 25 février 2017 étude de fonction f (x)=x |1+1/x|^(x+1) j'aime bien m'aider de justifier le passage première ligne vers deuxième ligne essentiellement le petit''o'' Merci d'avance ( photo prise d'un livre )
E-Bahut pzorba75 Posté(e) le 26 février 2017 E-Bahut Signaler Posté(e) le 26 février 2017 La photo d'une partie de l'énoncé n'est pas suffisante pour faire cet exercice qui n'est pas niveau lycée en France.
Messages recommandés
Archivé
Ce sujet est désormais archivé et ne peut plus recevoir de nouvelles réponses.