lcouturier44 Posté(e) le 11 septembre 2016 Auteur Signaler Posté(e) le 11 septembre 2016 il y a 1 minute, Boltzmann_Solver a dit : C'est exactement ça ! Avec le Th. de Pythagone, on sait que le triangle est rectangle et on en déduit une relation sur les distances. Avec la réciproque, on connaît la longueur des côtés et on vérifie si le triangle est rectangle. Question : sais tu calculer des longueurs à partir des coordonnées ? Ah oui c'est vrai. Oui je pense savoir comment faire mais je suis pas sûre de moi vue qu'on vient tout juste d'aborder ça en cours.
E-Bahut Boltzmann_Solver Posté(e) le 11 septembre 2016 E-Bahut Signaler Posté(e) le 11 septembre 2016 il y a 5 minutes, lcouturier44 a dit : Ah oui c'est vrai. Oui je pense savoir comment faire mais je suis pas sûre de moi vue qu'on vient tout juste d'aborder ça en cours. Tente ta chance avec ce que tu sais. Au pire, je te corrigerai :p. Il vaut mieux te tromper avec moi qu'avec ton prof.
lcouturier44 Posté(e) le 11 septembre 2016 Auteur Signaler Posté(e) le 11 septembre 2016 il y a 1 minute, Boltzmann_Solver a dit : Tente ta chance avec ce que tu sais. Au pire, je te corrigerai :p. Il vaut mieux te tromper avec moi qu'avec ton prof. Oui effectivement^^
E-Bahut Boltzmann_Solver Posté(e) le 11 septembre 2016 E-Bahut Signaler Posté(e) le 11 septembre 2016 il y a 8 minutes, lcouturier44 a dit : Oui effectivement^^ Montre moi ton idée pour la 2).
lcouturier44 Posté(e) le 11 septembre 2016 Auteur Signaler Posté(e) le 11 septembre 2016 Je commence à calculer les distances pour faire la réciproque de Pythagore je sais si c'est bon mais voila
lcouturier44 Posté(e) le 11 septembre 2016 Auteur Signaler Posté(e) le 11 septembre 2016 il y a 1 minute, lcouturier44 a dit : Je commence à calculer les distances pour faire la réciproque de Pythagore je sais si c'est bon mais voila Je sais pas*
lcouturier44 Posté(e) le 11 septembre 2016 Auteur Signaler Posté(e) le 11 septembre 2016 il y a 11 minutes, Boltzmann_Solver a dit : Montre moi ton idée pour la 2).
E-Bahut Boltzmann_Solver Posté(e) le 11 septembre 2016 E-Bahut Signaler Posté(e) le 11 septembre 2016 Plusieurs choses. Les coordonnées de M sont fausses (désolé, je l'ai laissé passer celui là). Ensuite, au regard de la réciproque, calcule les longueurs au carré. Sinon, on fait bien comme ça ! Accroche toi !!
lcouturier44 Posté(e) le 11 septembre 2016 Auteur Signaler Posté(e) le 11 septembre 2016 il y a 5 minutes, Boltzmann_Solver a dit : Plusieurs choses. Les coordonnées de M sont fausses (désolé, je l'ai laissé passer celui là). Ensuite, au regard de la réciproque, calcule les longueurs au carré. Sinon, on fait bien comme ça ! Accroche toi !! Je vais corriger ça. (ce n'est pas grave, l'erreur est humaine voyons^^) Oui.
E-Bahut Boltzmann_Solver Posté(e) le 11 septembre 2016 E-Bahut Signaler Posté(e) le 11 septembre 2016 il y a 13 minutes, lcouturier44 a dit : Je vais corriger ça. (ce n'est pas grave, l'erreur est humaine voyons^^) Oui. Tu es choupie ! Montre moi quand tu auras corrigé.
lcouturier44 Posté(e) le 11 septembre 2016 Auteur Signaler Posté(e) le 11 septembre 2016 il y a 1 minute, Boltzmann_Solver a dit : Tu es choupie ! Montre moi quand tu auras corrigé. Bah j'ai fais exactement pareil mais j'ai changée les coordonnées de M j'ai mis M(1;0.5)
E-Bahut Boltzmann_Solver Posté(e) le 11 septembre 2016 E-Bahut Signaler Posté(e) le 11 septembre 2016 il y a 5 minutes, lcouturier44 a dit : Bah j'ai fais exactement pareil mais j'ai changée les coordonnées de M j'ai mis M(1;0.5) Exactement. Donc, tu obtiens quoi ?
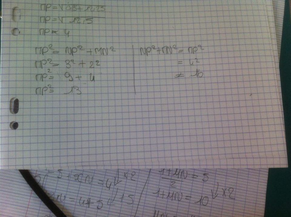
lcouturier44 Posté(e) le 11 septembre 2016 Auteur Signaler Posté(e) le 11 septembre 2016 Que le triangle n'étais pas rectangle. Car NP+MN= 13 et MP=16
E-Bahut Boltzmann_Solver Posté(e) le 11 septembre 2016 E-Bahut Signaler Posté(e) le 11 septembre 2016 à l’instant, lcouturier44 a dit : Que le triangle n'étais pas rectangle. Car NP+MN= 13 et MP=16 Quelle horreur !!!! Peux tu me réciter la réciproque du théorème de Pythagore ?
E-Bahut Boltzmann_Solver Posté(e) le 11 septembre 2016 E-Bahut Signaler Posté(e) le 11 septembre 2016 PS : je te le dis tout de suite, le triangle est rectangle.
lcouturier44 Posté(e) le 11 septembre 2016 Auteur Signaler Posté(e) le 11 septembre 2016 il y a 6 minutes, Boltzmann_Solver a dit : Quelle horreur !!!! Peux tu me réciter la réciproque du théorème de Pythagore ? J'ai fais ça mais c'est totalement faux.
E-Bahut Boltzmann_Solver Posté(e) le 11 septembre 2016 E-Bahut Signaler Posté(e) le 11 septembre 2016 Au moins, je récupère mes carrés !!! Je respire . Mais en effet, toutes tes longueurs au carré sont fausses. Détaille les moi STP.
lcouturier44 Posté(e) le 11 septembre 2016 Auteur Signaler Posté(e) le 11 septembre 2016 il y a 2 minutes, Boltzmann_Solver a dit : Au moins, je récupère mes carrés !!! Je respire . Mais en effet, toutes tes longueurs au carré sont fausses. Détaille les moi STP. C'est que je pouvais pas les faires sur ordi^^ Je sais pas si vous allez réussir à voir ce que j'ai pus écrire
E-Bahut Boltzmann_Solver Posté(e) le 11 septembre 2016 E-Bahut Signaler Posté(e) le 11 septembre 2016 il y a 2 minutes, lcouturier44 a dit : C'est que je pouvais pas les faires sur ordi^^ Je sais pas si vous allez réussir à voir ce que j'ai pus écrire Je t'avais dit de calculer directement les longueurs au carré (vu qu'on utilise la réciproque du Th. de Pythagore). Sinon la méthode est bonne. Donc calcule moi MP² en l'exprimant sous forme d'une fraction.
E-Bahut Boltzmann_Solver Posté(e) le 11 septembre 2016 E-Bahut Signaler Posté(e) le 11 septembre 2016 Remarque. Quand tu utilises une égalité, ne fais JAMAIS d'arrondi.
lcouturier44 Posté(e) le 11 septembre 2016 Auteur Signaler Posté(e) le 11 septembre 2016 il y a 7 minutes, Boltzmann_Solver a dit : Je t'avais dit de calculer directement les longueurs au carré (vu qu'on utilise la réciproque du Th. de Pythagore). Sinon la méthode est bonne. Donc calcule moi MP² en l'exprimant sous forme d'une fraction. J'ai pas compris la
E-Bahut Boltzmann_Solver Posté(e) le 11 septembre 2016 E-Bahut Signaler Posté(e) le 11 septembre 2016 il y a 3 minutes, lcouturier44 a dit : J'ai pas compris la Et bien, au lieu de me donner la valeur approchée de MP, je te demande la valeur exacte de MP². Et si possible, donne le moi sous la forme d'un quotient d'entiers (un nombre fractionnel).
lcouturier44 Posté(e) le 11 septembre 2016 Auteur Signaler Posté(e) le 11 septembre 2016 Bon bah je le finirais moi même car je vais dans mon internat la Merci de m'avoir aidée
E-Bahut Boltzmann_Solver Posté(e) le 11 septembre 2016 E-Bahut Signaler Posté(e) le 11 septembre 2016 il y a 9 minutes, lcouturier44 a dit : Bon bah je le finirais moi même car je vais dans mon internat la Merci de m'avoir aidée Un peu déçu de m'arrêter ainsi. Mais tu sais faire dans l'ensemble !!! Ne te décourage pas !!!
E-Bahut Boltzmann_Solver Posté(e) le 11 septembre 2016 E-Bahut Signaler Posté(e) le 11 septembre 2016 Je t'en prie
Messages recommandés
Archivé
Ce sujet est désormais archivé et ne peut plus recevoir de nouvelles réponses.