Aller au contenu

Mathématiques Terminale Es


Abc1234

Messages recommandés

Posté(e)

Urgent j'ai besoin d'aide sur mon devoir de math ou je comprend rien :

De 1980 a 2010 , le nombre d’étudiants a l'université est passé de 1.18 millions à 2.32 millions.

On suppose que le nombre d’étudiants a suivi une croissance affine ,c-a-d que le nombre d’étudiants , en million est modélisé par f(x)=ax+b où x est le nombre d'années écoulées depuis 1980.

Questions:

1a. Determiner la fonction affine f définie sur [0;30].On donnera le coefficient a arrondir a 10^-3 prés.

1b.Si pour x on avait conservé la date , quel serait le coefficient a ?Quelle interprétation donner au coefficient b ?

2a.Calculer le nombre d’étudiants en 2004 par interpolation linéaire

2b .Comparer avec la valeur exacte 2.27 millions

3.A l'aide de la résolution d'un système, déterminer la fonction du second degré g dont la représentation passe par les points : A(0;118) B(24;227) C(30;232)

Donner les coefficients arrondis a 0.01 prés

4. En 2000 le nombre d’étudiants était de 2.16 millions .Calculer les valeurs obtenues par le modèle affine et par le modèle du second degré .Comparer

  • E-Bahut
Posté(e)
De 1980 a 2010 , le nombre d’étudiants a l'université est passé de 1.18 millions à 2.32 millions.
On suppose que le nombre d’étudiants a suivi une croissance affine ,c-a-d que le nombre d’étudiants , en million est modélisé par f(x)=ax+b où x est le nombre d'années écoulées depuis 1980.
Questions:
1a. Determiner la fonction affine f définie sur [0;30].On donnera le coefficient a arrondir a 10^-3 prés.
————————
On détermine l’équation de la droite passant par les points
{0, 1.18} et {30,2.32}
on obtient :
y=0.038*x+1.18
————————
b.Si pour x on avait conservé la date , quel serait le coefficient a ?Quelle interprétation donner au coefficient b ?
————————
Il resterait le même la pente de la droite a=∆y/∆x reste inchangée
————————
2a.Calculer le nombre d’étudiants en 2004 par interpolation linéaire
————————
————————
2b .Comparer avec la valeur exacte 2.27 millions
————————
————————
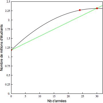
3.A l'aide de la résolution d'un système, déterminer la fonction du second degré g dont la représentation passe par les points : A(0;1.18) B(24;2.27) C(30;2.32)
————————
g(x)=a*x^2+b*x+c
on calcule
g(0)=c=1.18
g(24)=24^2*a+24*b+1.18=2.27
g(30)=30^2*b+30*b+1.18=2.32
a et b sont solution du système d’équation :
576*a+24*b=1.09
900*a+30*b=1.14 ==> a=-0.00124 et b=0.075 ==>
g(x)=-0.00124*x^2+0.0750*x+1.180
post-24224-0-79760200-1414527557_thumb.j
————————
4. En 2000 le nombre d’étudiants était de 2.16 millions .Calculer les valeurs obtenues par le modèle affine et par le modèle du second degré .Comparer
———————————
y(20)=1.94
g(20)=2.184
———————————

post-24224-0-79760200-1414527557_thumb.j

post-24224-0-79760200-1414527557_thumb.j

post-24224-0-79760200-1414527557_thumb.j

post-24224-0-79760200-1414527557_thumb.j

post-24224-0-79760200-1414527557_thumb.j

post-24224-0-79760200-1414527557_thumb.j

post-24224-0-79760200-1414527557_thumb.j

post-24224-0-79760200-1414527557_thumb.j

post-24224-0-79760200-1414527557_thumb.j

post-24224-0-79760200-1414527557_thumb.j

post-24224-0-79760200-1414527557_thumb.j

Archivé

Ce sujet est désormais archivé et ne peut plus recevoir de nouvelles réponses.

×
×
  • Créer...
spam filtering
spam filtering