Aller au contenu

Intégration


j-l

Messages recommandés

Posté(e)

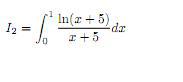
Bonsoir à tous smile.png

J'ai bloqué sur une intégrale, j'ai essayer une intégration par parties, je trouve 0...

Voilà rien de très concluant, si vous pouvez m'aider merci d'avance !

post-58989-0-23256900-1394389039_thumb.j

post-58989-0-23256900-1394389039_thumb.j

post-58989-0-23256900-1394389039_thumb.j

post-58989-0-23256900-1394389039_thumb.j

post-58989-0-23256900-1394389039_thumb.j

post-58989-0-23256900-1394389039_thumb.j

post-58989-0-23256900-1394389039_thumb.j

post-58989-0-23256900-1394389039_thumb.j

post-58989-0-23256900-1394389039_thumb.j

post-58989-0-23256900-1394389039_thumb.j

post-58989-0-23256900-1394389039_thumb.j

post-58989-0-23256900-1394389039_thumb.j

  • E-Bahut
Posté(e)

En regardant la forme de la fonction sous l'intégrale, tout simplement. f(t)=1/2*u'(t)*u(t)^2 si tu regardes de près, donc pas besoin d'intégrer par parties. Mais tu obtiendras le même résultat par IPP en posant u(x)=ln(x+5) et v'(x)=1/(x+5). Après c'est l'application de la fameuse formule de l'IPP, qui te ramènera à l'intégrale du début.

Sois curieux, et intègres.

Au travail.

Archivé

Ce sujet est désormais archivé et ne peut plus recevoir de nouvelles réponses.

×
×
  • Créer...
spam filtering
spam filtering