Aller au contenu

Exercice - Nombre Complexe


Domi-59

Messages recommandés

Posté(e)

Enoncé :

Le plan est rapporté à un répère orthonormal ( O ; vecteur u ; vecteur v ) d'unité graphique 5 cm.

On considère les points A et B, d'affixes respectives : ( V = racine carré )

Za = 1

Zb = 1/V2 x ( 1+i) , Où i désigne le nombre complexe de module 1 et d'argument π/2.

Le but de cet exercice est de déterminer la valeur exacte de cos ( π/8)

Question:

1)a) Montrer que les points A et B appartiennent au cercle C de centre O et de rayon 1.

b) déterminer un argument de Zb.

c) Tracer C et construire les points A et B.

d) Soit I le milieu du sergement [AB]. Placer I sur la figure et prouver que Zi = (2+V2)/4 + (V2/4)i

2)a) Calculer la distance OI et prouver que :

OI = (V2+V2)/2

b) Justifier que la droite (OI) est la bissectrice de l'angle AOB. En déduire un argument de Zi.

3) Monter à l'aide des résultats obtenus aux questions précédentes que la valeur exacte de :

Cos (π/8) est (V2+V2)/2

Merci de votre aide, c'est mon devoir maison pour demain, j'ai réussi les 2 précédents exercices.. mais celui là, j'abandonne !

Alors si vous pouviez m'aider, ce serai super sympa de votre part ! Merci d'avance et bonne journée :)

  • E-Bahut
Posté(e)

On considère les points A et B, d'affixes respectives :

Za = 1

Zb = (1/√2)*(1+i) , Où i désigne le nombre complexe de module 1 et d'argument π/2.

Le but de cet exercice est de déterminer la valeur exacte de cos(π/8)

1)a) Montrer que les points A et B appartiennent au cercle C de centre O et de rayon 1.

|Za|=1

|Zb]=√2/√2=1 ==> A et B appartiennent au cercle C de centre O et de rayon 1

b) déterminer un argument de Zb.

Zb= |Zb|*(cos(a)+i*sin(a))=1/√2+i/√2 ==> a= π/4

c) Tracer C et construire les points A et B.

post-24224-0-18158900-1328024720_thumb.j

d) Soit I le milieu du sergement [AB]. Placer I sur la figure et prouver que Zi = (2+V2)/4 + (V2/4)i

Zi=(Zb+Za)/2=((1/√2)*(1+i)+1)/2=(√2*(1+i)/2+1)/2=(√2*(1+i)/2+2)/4=(2+√2)/4+i*√2/4

2)a) Calculer la distance OI et prouver que :OI = (V2+V2)/2

OI=|ZI|=√(((2+√2)/4)^2+(√2/4)^2)=(1/4)*√((2+√2)^2+(√2)^2)=(1/4)*√(8+4*√2)=√(2+√2)/2

b) Justifier que la droite (OI) est la bissectrice de l'angle AOB. En déduire un argument de Zi.

Le triangle BOA est isocèle OI est la hauteur issue de O, la médiatrice de AB et la bissectrice de l'angle BAO donc AOI=π/8

3) Monter à l'aide des résultats obtenus aux questions précédentes que la valeur exacte de : Cos (π/8) est (V2+V2)/2

ZI=|ZI|*(cos(pi/*4)*i*sin(π/4))=(√(2+√2)/4+i*√2/4)

=(√(2+√2)/2)*(√(2+√2)/2+i*√2/(2*√(2+√2)))

=(√(2+√2)/2)*(√(2+√2)/2+i*√2*(√(2-√2)/(2*√(2+√2)*(√(2-√2)))=(√(2+√2)/2)*(√(2+√2)/2+i*√(2-√2)/2)

==> cos(π/4)=√(2+√2)/2

sin(π/4)=√(2-√2)/2

Posté(e)

Merci beaucoup de votre réponse mais je n'ai pas compris ceci :

1)a) Montrer que les points A et B appartiennent au cercle C de centre O et de rayon 1.

|Za|=1

|Zb]=√/2=1 ==> A et B appartiennent au cercle C de centre O et de rayon 1

  • E-Bahut
Posté(e)

Merci beaucoup de votre réponse mais je n'ai pas compris ceci :

1)a) Montrer que les points A et B appartiennent au cercle C de centre O et de rayon 1.

|Za|=1

|Zb]=√2/√2=1 ==> A et B appartiennent au cercle C de centre O et de rayon 1

Posté(e)

3) Monter à l'aide des résultats obtenus aux questions précédentes que la valeur exacte de : Cos (π/8) est (V2+V2)/2

ZI=|ZI|*(cos(pi/*4)*i*sin(π/4))=(√(2+√2)/4+i*√2/4)

=(√(2+√2)/2)*(√(2+√2)/2+i*√2/(2*√(2+√2)))

=(√(2+√2)/2)*(√(2+√2)/2+i*√2*(√(2-√2)/(2*√(2+√2)*(√(2-√2)))=(√(2+√2)/2)*(√(2+√2)/2+i*√(2-√2)/2)

==> cos(π/4)=√(2+√2)/2

sin(π/4)=√(2-√2)/2

Par exemple : i2((2-2)/(2(2+2)((2-2) toute la partie en vert fait bien partie du dénominateur ?

Merci d'avance :)

Sinon pourriez-vous me préciser, comment faire pour construire le cercle ?

Par exemple: Pour placer B et comment faire un angle de π/4 ?

Posté(e)

d) Soit I le milieu du sergement [AB]. Placer I sur la figure et prouver que Zi = (2+V2)/4 + (V2/4)i

Zi=(Zb+Za)/2=((1/√2)*(1+i)+1)/2=(√2*(1+i)/2+1)/2=(√2*(1+i)/2+2)/4=(2+√2)/4+i*√2/4

Je dois en conclure = (2+2)/4 + ( i2/4)

? merci d'avance :)

  • E-Bahut
Posté(e)

d) Soit I le milieu du sergement [AB]. Placer I sur la figure et prouver que Zi = (2+V2)/4 + (V2/4)i

Zi=(Zb+Za)/2=((1/√2)*(1+i)+1)/2=(√2*(1+i)/2+1)/2=(√2*(1+i)/2(fautede frappe)+2)/4= (√2*(1+i)+2)/4=(2+√2)/4+i*√2/4

Je dois en conclure = (2+2)/4 + ( i2/4)

? merci d'avance smile.png

  • E-Bahut
Posté(e)

Sinon pourriez-vous me préciser, comment faire pour construire le cercle ?

Par exemple: Pour placer B et comment faire un angle de π/4 ?

-----------------------

Cercle de rayon unité (construction du point B)

post-24224-0-27171000-1328044104_thumb.j

Et correction de quelques fautes de frappe

On considère les points A et B, d'affixes respectives :

Za = 1

Zb = (1/√2)*(1+i) , Où i désigne le nombre complexe de module 1 et d'argument π/2.

Le but de cet exercice est de déterminer la valeur exacte de cos(π/8)

1)a) Montrer que les points A et B appartiennent au cercle C de centre O et de rayon 1.

|Za|=1

|Zb]=√2/√2=1 ==> A et B appartiennent au cercle C de centre O et de rayon 1

b) déterminer un argument de Zb.

Zb= |Zb|*(cos(a)+i*sin(a))=1/√2+i/√2 ==> a= π/4

c) Tracer C et construire les points A et B.

post-24224-0-18158900-1328024720_thumb.j

d) Soit I le milieu du sergement [AB]. Placer I sur la figure et prouver que Zi = (2+V2)/4 + (V2/4)i

Zi=(Zb+Za)/2=((1/√2)*(1+i)+1)/2=(√2*(1+i)/2+1)/2=(√2*(1+i)/2+2)/4=(2+√2)/4+i*√2/4

2)a) Calculer la distance OI et prouver que :OI = (V2+V2)/2

OI=|ZI|=√(((2+√2)/4)^2+(√2/4)^2)=(1/4)*√((2+√2)^2+(√2)^2)=(1/4)*√(8+4*√2)=√(2+√2)/2

b) Justifier que la droite (OI) est la bissectrice de l'angle AOB. En déduire un argument de Zi.

Le triangle BOA est isocèle OI est la hauteur issue de O, la médiatrice de AB et la bissectrice de l'angle BAO donc AOI=π/8

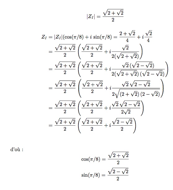
3) Monter à l'aide des résultats obtenus aux questions précédentes que la valeur exacte de : Cos (π/8) est (V2+V2)/2

ZI=|ZI|*(cos(pi/*8)*i*sin(π/8))=(√(2+√2)/4+i*√2/4)

=(√(2+√2)/2)*(√(2+√2)/2+i*√2/(2*√(2+√2)))

=(√(2+√2)/2)*(√(2+√2)/2+i*√2*(√(2-√2)/(2*√(2+√2)*(√(2-√2)))=(√(2+√2)/2)*(√(2+√2)/2+i*√(2-√2)/2)

==> cos(π/8)=√(2+√2)/2

sin(π/8)=√(2-√2)/2

post-24224-0-19038400-1328044292_thumb.j

post-24224-0-27171000-1328044104_thumb.j

post-24224-0-19038400-1328044292_thumb.j

post-24224-0-27171000-1328044104_thumb.j

post-24224-0-19038400-1328044292_thumb.j

post-24224-0-27171000-1328044104_thumb.j

post-24224-0-19038400-1328044292_thumb.j

post-24224-0-27171000-1328044104_thumb.j

post-24224-0-19038400-1328044292_thumb.j

post-24224-0-27171000-1328044104_thumb.j

post-24224-0-19038400-1328044292_thumb.j

post-24224-0-27171000-1328044104_thumb.j

post-24224-0-19038400-1328044292_thumb.j

post-24224-0-27171000-1328044104_thumb.j

post-24224-0-19038400-1328044292_thumb.j

post-24224-0-27171000-1328044104_thumb.j

post-24224-0-19038400-1328044292_thumb.j

post-24224-0-27171000-1328044104_thumb.j

post-24224-0-19038400-1328044292_thumb.j

post-24224-0-27171000-1328044104_thumb.j

post-24224-0-19038400-1328044292_thumb.j

post-24224-0-27171000-1328044104_thumb.j

post-24224-0-19038400-1328044292_thumb.j

Archivé

Ce sujet est désormais archivé et ne peut plus recevoir de nouvelles réponses.

×
×
  • Créer...
spam filtering
spam filtering