Aller au contenu

Produit Scalaire Et Vecteurs


clemgym

Messages recommandés

Posté(e)

Bonjour,

J'ai un soucis sur un exercice de maths, je vous donne l'énoncée :

On considère un rectangle ABCD tel que AB = 2a, AD = a, où a est un réel strictement positif. Les points I, J et L sont ainsi

définis : I est le milieu de [bC], vecDJ = 1/3vecDC, L est le projeté orthogonal de J sur (AI).

Calculer les distances AI et AJ.

Exprimer le produit scalaire vecAI.vecAJ en fonction de a.

Calculer AL.

Calculer une valeur approchée à 0,1˚ près de l’angle IAJ.

Calculer l’aire du triangleIAJ.

Alors, je n'ai pas tout compris des produits scalaires...

Merci

  • E-Bahut
Posté(e)

On considère un rectangle ABCD tel que AB = 2a, AD = a, où a est un réel strictement positif. Les points I, J et L sont ainsi

définis : I est le milieu de [bC], vecDJ = 1/3vecDC, L est le projeté orthogonal de J sur (AI).

post-24224-0-36903500-1298035574_thumb.j

Calculer les distances AI et AJ.

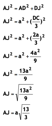
Pythagore dans ABI ==> AI=√(AB^2+BI^2)=√(4a^2+a^2/4)=a*√17/2

Pythagore dans ADJ ==> AJ=√(AD^2+DJ^2)=√(a^2+2*a^2/9)=a*√13/3

Exprimer le produit scalaire vecAI.vecAJ en fonction de a.

AI*AJ=|AI|*|AJ|*Cos(JAI)=a^2*√221*Cos(JAI)/6

Dans le triangle ADJ on a Tan DAJ=DJ/DA=(2*a/3)/a=2/3 ==> DAJ=ArcTan(2/3)

Dans le triangle IAB on a Tan IAB=IB/BA=(a/3)/a=1/3 ==> IAB=ArcTan(1/3)

Comme DAJ+JAI+IAB=Pi/2 ==> JAI=Pi/2-DAJ-IAB=Pi/2-ArcTan(2/3)-ArcTan(1/3)

I*AJ=|AI|*|AJ|*Cos(JAI)=a^2*√170*Cos(Pi/2-ArcTan(2/3)-ArcTan(1/3))/6

Calculer AL.

Pythagore dans ADJ ==> |AJ|=√(AD^2+DJ^2)=√(a^2+4*a^2/9)=a*√13/3

|AL|=|AJ|*Cos(JAI)=|AJ|*Cos(Pi/2-ArcTan(2/3)-ArcTan(1/3))=a*(√13/3)*Cos(Pi/2-ArcTan(2/3)-ArcTan(1/3))

Calculer une valeur approchée à 0,1˚ près de l'angle IAJ.JAI=(Pi/2-ArcTan(2/3)-ArcTan(1/3))*180/Pi=42,2737°=41,27°

Calculer l'aire du triangle IAJ.

Aire IAJ = Aire ABCD-Aire IAB- Aire AJD =2*a^2-a^2/2-a^2/6=8*a^2/6=4*a^2/3

post-24224-0-36903500-1298035574_thumb.j

post-24224-0-36903500-1298035574_thumb.j

post-24224-0-36903500-1298035574_thumb.j

post-24224-0-36903500-1298035574_thumb.j

post-24224-0-36903500-1298035574_thumb.j

post-24224-0-36903500-1298035574_thumb.j

post-24224-0-36903500-1298035574_thumb.j

post-24224-0-36903500-1298035574_thumb.j

post-24224-0-36903500-1298035574_thumb.j

post-24224-0-36903500-1298035574_thumb.j

post-24224-0-36903500-1298035574_thumb.j

Posté(e)

On considère un rectangle ABCD tel que AB = 2a, AD = a, où a est un réel strictement positif. Les points I, J et L sont ainsi

définis : I est le milieu de [bC], vecDJ = 1/3vecDC, L est le projeté orthogonal de J sur (AI).

Calculer les distances AI et AJ.

Pythagore dans ABI ==> AI=√(AB^2+BI^2)=√(4a^2+a^2/4)=a*√17/2

Pythagore dans ADJ ==> AJ=√(AD^2+DJ^2)=√(a^2+a^2/9)=a*√10/3

Exprimer le produit scalaire vecAI.vecAJ en fonction de a.

AI*AJ=|AI|*|AJ|*Cos(JAI)=a^2*√170*Cos(JAI)/6

Dans le triangle ADJ on a Tan DAJ=DJ/DA=(2*a/3)/a=2/3 ==> DAJ=ArcTan(2/3)

Dans le triangle IAB on a Tan IAB=IB/BA=(a/3)/a=1/3 ==> IAB=ArcTan(1/3)

Comme DAJ+JAI+IAB=Pi/2 ==> JAI=Pi/2-DAJ-IAB=Pi/2-ArcTan(2/3)-ArcTan(1/3)

I*AJ=|AI|*|AJ|*Cos(JAI)=a^2*√170*Cos(Pi/2-ArcTan(2/3)-ArcTan(1/3))/6

Calculer AL.

Pythagore dans ADJ ==> |AJ|=√(AD^2+DJ^2)=√(a^2+4*a^2/9)=a*√13/3

|AL|=|AJ|*Cos(JAI)=|AJ|*Cos(Pi/2-ArcTan(2/3)-ArcTan(1/3))=a*(√13/3)*Cos(Pi/2-ArcTan(2/3)-ArcTan(1/3))

Calculer une valeur approchée à 0,1˚ près de l'angle IAJ.JAI=(Pi/2-ArcTan(2/3)-ArcTan(1/3))*180/Pi=42,2737°=41,27°

Calculer l'aire du triangle IAJ.

Aire IAJ = Aire ABCD-Aire IAB- Aire AJD =2*a^2-a^2/2-a^2/6=8*a^2/6=4*a^2/3

  • E-Bahut
Posté(e)

On considère un rectangle ABCD tel que AB = 2a, AD = a, où a est un réel strictement positif. Les points I, J et L sont ainsi

définis : I est le milieu de [bC], vecDJ = 1/3vecDC, L est le projeté orthogonal de J sur (AI).

Calculer les distances AI et AJ.

Pythagore dans ABI ==> AI=√(AB^2+BI^2)=√(4a^2+a^2/4)=a*√17/2

Pythagore dans ADJ ==> AJ=√(AD^2+DJ^2)=√(a^2+4*a^2/9)=a*13/3

Exprimer le produit scalaire vecAI.vecAJ en fonction de a.

AI*AJ=|AI|*|AJ|*Cos(JAI)=a^2*√221*Cos(JAI)/6

Dans le triangle ADJ on a Tan DAJ=DJ/DA=(2*a/3)/a=2/3 ==> DAJ=ArcTan(2/3)

Dans le triangle IAB on a Tan IAB=IB/BA=(a/3)/a=1/3 ==> IAB=ArcTan(1/3)

Comme DAJ+JAI+IAB=Pi/2 ==> JAI=Pi/2-DAJ-IAB=Pi/2-ArcTan(2/3)-ArcTan(1/3)

I*AJ=|AI|*|AJ|*Cos(JAI)=a^2*√170*Cos(Pi/2-ArcTan(2/3)-ArcTan(1/3))/6

Calculer AL.

Pythagore dans ADJ ==> |AJ|=√(AD^2+DJ^2)=√(a^2+4*a^2/9)=a*√13/3

|AL|=|AJ|*Cos(JAI)=|AJ|*Cos(Pi/2-ArcTan(2/3)-ArcTan(1/3))=a*(√13/3)*Cos(Pi/2-ArcTan(2/3)-ArcTan(1/3))

Calculer une valeur approchée à 0,1˚ près de l'angle IAJ.JAI=(Pi/2-ArcTan(2/3)-ArcTan(1/3))*180/Pi=42,2737°=41,27°

Calculer l'aire du triangle IAJ.

Aire IAJ = Aire ABCD-Aire IAB- Aire AJD =2*a^2-a^2/2-a^2/6=8*a^2/6=4*a^2/3

Posté(e)

On considère un rectangle ABCD tel que AB = 2a, AD = a, où a est un réel strictement positif. Les points I, J et L sont ainsi

définis : I est le milieu de [bC], vecDJ = 1/3vecDC, L est le projeté orthogonal de J sur (AI).

Calculer les distances AI et AJ.

Pythagore dans ABI ==> AI=√(AB^2+BI^2)=√(4a^2+a^2/4)=a*√17/2

Pythagore dans ADJ ==> AJ=√(AD^2+DJ^2)=√(a^2+4*a^2/9)=a*13/3

Exprimer le produit scalaire vecAI.vecAJ en fonction de a.

AI*AJ=|AI|*|AJ|*Cos(JAI)=a^2*√221*Cos(JAI)/6

Dans le triangle ADJ on a Tan DAJ=DJ/DA=(2*a/3)/a=2/3 ==> DAJ=ArcTan(2/3)

Dans le triangle IAB on a Tan IAB=IB/BA=(a/3)/a=1/3 ==> IAB=ArcTan(1/3)

Comme DAJ+JAI+IAB=Pi/2 ==> JAI=Pi/2-DAJ-IAB=Pi/2-ArcTan(2/3)-ArcTan(1/3)

I*AJ=|AI|*|AJ|*Cos(JAI)=a^2*√170*Cos(Pi/2-ArcTan(2/3)-ArcTan(1/3))/6

Calculer AL.

Pythagore dans ADJ ==> |AJ|=√(AD^2+DJ^2)=√(a^2+4*a^2/9)=a*√13/3

|AL|=|AJ|*Cos(JAI)=|AJ|*Cos(Pi/2-ArcTan(2/3)-ArcTan(1/3))=a*(√13/3)*Cos(Pi/2-ArcTan(2/3)-ArcTan(1/3))

Calculer une valeur approchée à 0,1˚ près de l'angle IAJ.JAI=(Pi/2-ArcTan(2/3)-ArcTan(1/3))*180/Pi=42,2737°=41,27°

Calculer l'aire du triangle IAJ.

Aire IAJ = Aire ABCD-Aire IAB- Aire AJD =2*a^2-a^2/2-a^2/6=8*a^2/6=4*a^2/3

  • 2 mois plus tard...
Posté(e)

Bonsoir Barbidoux, je fais le même exercice et j'ai un problème avec le calcul de AI car moi j'ai trouvé AI = 2a-a, ce qui correspond bien au graphique que j'ai fait ...

  • E-Bahut
Posté(e)

Bonsoir Barbidoux, je fais le même exercice et j'ai un problème avec le calcul de AI car moi j'ai trouvé AI = 2a-a, ce qui correspond bien au graphique que j'ai fait ...

Posté(e)

C'est ce que j'ai fait (enfin avec 1/2a mais ça revient au même) ... ce qui me paraît étrange c'est que ça colle avec mon graphique (j'ai pris a=6).

  • E-Bahut
Posté(e)

C'est ce que j'ai fait (enfin avec 1/2a mais ça revient au même) ...

Alors si tu as appliqué Pythagore dans ABI tu as obtenu AI=√(AB^2+BI^2)=√(4a^2+a^2/4)=√((16*a^2+a^2)/4)=√(17*a^2/4)=a*√17/2

ce qui me paraît étrange c'est que ça colle avec mon graphique (j'ai pris a=6).

Posté(e)

ah non en fait j'ai fait AB^2=AI^2+BI^2 d'où mon erreur

Mais je ne comprends pas pourquoi la valeur que t'as trouvée ne correspond pas à ce que j'ai dessiné (AB = 6 et AD = 3)

Posté(e)

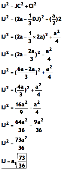
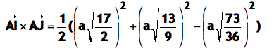
Bonsoir Barbidoux, pour le 2 si je calcule d'abord la longueur IJ et que j'applique AI*AJ=1/2(AI^2+AJ^2-IJ^2) c'est bon? (à la fin je trouve 301a^2/72)

Posté(e)

Oui mais si je mets quelque chose qui n'a pas été vu je vais perdre la moitié des points même si c'est correct.

J'ai proposé une autre façon de faire plus haut, est-elle correcte?

Posté(e)

Très bien, voilà.

Par définition, le produit scalaire de deux vecteurs AB et AC est le nombre réel 1/2 (AB^2+AC^2-BC^2).

Nous allons donc utiliser: AI*AJ = 1/2 (AI^2+AJ^2-IJ^2), cependant nous ne connaissance pas IJ donc nous allons le calculer.

Dans le triangle IJC rectangle en C, nous avons:

post-52670-0-17965300-1305299574_thumb.p

Maintenant on peut calculer le produit scalaire: post-52670-0-72560900-1305300209_thumb.p

À ça je trouve 285a^2/36

post-52670-0-17965300-1305299574_thumb.p

post-52670-0-72560900-1305300209_thumb.p

post-52670-0-17965300-1305299574_thumb.p

post-52670-0-72560900-1305300209_thumb.p

post-52670-0-17965300-1305299574_thumb.p

post-52670-0-72560900-1305300209_thumb.p

post-52670-0-17965300-1305299574_thumb.p

post-52670-0-72560900-1305300209_thumb.p

post-52670-0-17965300-1305299574_thumb.p

post-52670-0-72560900-1305300209_thumb.p

post-52670-0-17965300-1305299574_thumb.p

post-52670-0-72560900-1305300209_thumb.p

post-52670-0-17965300-1305299574_thumb.p

post-52670-0-72560900-1305300209_thumb.p

post-52670-0-17965300-1305299574_thumb.p

post-52670-0-72560900-1305300209_thumb.p

post-52670-0-17965300-1305299574_thumb.p

post-52670-0-72560900-1305300209_thumb.p

post-52670-0-17965300-1305299574_thumb.p

post-52670-0-72560900-1305300209_thumb.p

post-52670-0-17965300-1305299574_thumb.p

post-52670-0-72560900-1305300209_thumb.p

  • E-Bahut
Posté(e)

Bonsoir,

Bon, il y a beaucoup d'erreurs ! Déjà de cours. Tu as dans ton cours deux définitions du produit scalaire. En effet, soit vect(u) et vect(v), deux vecteurs du plan ou de l'espace, tu as :

* vect(u).vect(v) = ||vect(u)||*||vect(v)||*cos(vect(u),vect(v)))

* Soit vect(u) = (a,b) et vect(v) = (c,d), leurs coordonnées dans UNE BASE ORTHONORMEE, vect(u).vect(v) = ac + bd (se démontre par linéarité du produit scalaire comme Al-Kashi).

Après, on peut montrer en effet que si tu en dans un triangle, tu as la relation vect(AB) + vect(BC) + vect(CA) = vect(0) qui projetté suivant vect(BC) donne vect(AB).vect(AC) = (AB²+AC²-BC²)/2, qui est le théorème d'Am-Kashi et non la définition du produit scalaire. Je ne peux que te conseiller de revoir attentivement ton cours.

Concernant le calcul de IJ, c'est juste mis à part un DJ qui est en fait en DC mais tu n'as pas continué la faute, donc, ça roule. Mais là, tu as des erreurs de calcul, tu t'es planté dans le calcul de AI et AJ (cf. post de Barbidoux).

Tu m'as montré que tu as cherché donc à mon tour de travailler. Tu as du remarquer que ta méthode est assez calculatoire, non ? Je te propose une méthode plus propre passant par la seconde définition du produit scalaire.

Posons le repère orthonormé d'origine A et d'axe suivant vect(AB) en x et vect(AD) en y.

Donc, vect(AI) = a*(2,1/2) et vect(AJ) = a*(2/3,1)

On trouve que AI = ||vect(AI)|| = a*sqrt(4+1/4) = sqrt(17)/2 et que AJ = a*sqrt((2/3)²+1) = a*sqrt(13)/3

Donc, par définition, vect(AI).vect(AJ) = a²(2*2/3 + 1/2*1) = a²*(4/3+1/2) = a²*11/6 (Tu retrouveras la même valeur si tu corriges tes fautes de calculs, je l'ai vérifié). Mais tu remarqueras que j'ai jamais fait usage de racine par déterminer le produit scalaire.

Posté(e)

Merci de ta réponse

Dans mon cours il n'y pas de trace d'Al-Kashi , il a écrit: "Produit de deux vecteurs", puis en bas "Définition" et ce que j'ai marqué dans mon message précédent.

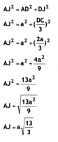
Concernant AI et AJ, en fait c'est une erreur d'écriture concernant Aj mais dans mon brouillon j'avais bien trouvé /3, pour AI c'est bon mais pour AJ en fait c'est /3 et /9 c'est vrai, faut que je corrige ça.

C'est vrai qu'on en arrive à de gros chiffres avec ma méthode. En corrigeant par contre je trouve 389a^2/36 mais je vais utiliser ta méthode

EDIT: concernant les coordonnées des vecteurs, c'est bien: vecAI (2a, 1a/2) et vecAJ (2a/3, a)?

  • E-Bahut
Posté(e)

Merci de ta réponse

Dans mon cours il n'y pas de trace d'Al-Kashi , il a écrit: "Produit de deux vecteurs", puis en bas "Définition" et ce que j'ai marqué dans mon message précédent.

Concernant AI et AJ, en fait c'est une erreur d'écriture concernant Aj mais dans mon brouillon j'avais bien trouvé /3, pour AI c'est bon mais pour AJ en fait c'est /3 et /9 c'est vrai, faut que je corrige ça.

C'est vrai qu'on en arrive à de gros chiffres avec ma méthode. En corrigeant par contre je trouve 389a^2/36 mais je vais utiliser ta méthode

EDIT: concernant les coordonnées des vecteurs, c'est bien: vecAI (2a, 1a/2) et vecAJ (2a/3, a)?

Posté(e)

Je vais continuer, peux-tu me corriger le reste stp.

3. Calculer AL:

L est sur [AI] ou [AI), donc on a:

post-52670-0-74926800-1305313097_thumb.p

4. Calculer une valeur approchée à 0,1° près l'angle IÂJ.

Dans le triangle ALJ rectangle en L, on a:

post-52670-0-30168300-1305313642_thumb.p

Donc valeur approchée = 42,4°

5. Calculer l'aire du triangle IAJ

post-52670-0-50460600-1305314534_thumb.p

post-52670-0-74926800-1305313097_thumb.p

post-52670-0-30168300-1305313642_thumb.p

post-52670-0-50460600-1305314534_thumb.p

post-52670-0-74926800-1305313097_thumb.p

post-52670-0-30168300-1305313642_thumb.p

post-52670-0-50460600-1305314534_thumb.p

post-52670-0-74926800-1305313097_thumb.p

post-52670-0-30168300-1305313642_thumb.p

post-52670-0-50460600-1305314534_thumb.p

post-52670-0-74926800-1305313097_thumb.p

post-52670-0-30168300-1305313642_thumb.p

post-52670-0-50460600-1305314534_thumb.p

post-52670-0-74926800-1305313097_thumb.p

post-52670-0-30168300-1305313642_thumb.p

post-52670-0-50460600-1305314534_thumb.p

post-52670-0-74926800-1305313097_thumb.p

post-52670-0-30168300-1305313642_thumb.p

post-52670-0-50460600-1305314534_thumb.p

post-52670-0-74926800-1305313097_thumb.p

post-52670-0-30168300-1305313642_thumb.p

post-52670-0-50460600-1305314534_thumb.p

post-52670-0-74926800-1305313097_thumb.p

post-52670-0-30168300-1305313642_thumb.p

post-52670-0-50460600-1305314534_thumb.p

post-52670-0-74926800-1305313097_thumb.p

post-52670-0-30168300-1305313642_thumb.p

post-52670-0-50460600-1305314534_thumb.p

post-52670-0-74926800-1305313097_thumb.p

post-52670-0-30168300-1305313642_thumb.p

post-52670-0-50460600-1305314534_thumb.p

post-52670-0-74926800-1305313097_thumb.p

post-52670-0-30168300-1305313642_thumb.p

post-52670-0-50460600-1305314534_thumb.p

Posté(e)

:lol: Alors selon ma méthode "bourrine" ça me donne:

j'espère que c'est assez clair:

post-52670-0-26159400-1305315234_thumb.p

sur /72 en fait pas 36, j'avais oublié de multiplier le dénominateur par 2

Concernant la figure, j'ai du mal avec le projeté orthogonal donc je dois avouer que le point L je l'ai placé un peu au hasard sur mon brouillon.

post-52670-0-26159400-1305315234_thumb.p

post-52670-0-26159400-1305315234_thumb.p

post-52670-0-26159400-1305315234_thumb.p

post-52670-0-26159400-1305315234_thumb.p

post-52670-0-26159400-1305315234_thumb.p

post-52670-0-26159400-1305315234_thumb.p

post-52670-0-26159400-1305315234_thumb.p

post-52670-0-26159400-1305315234_thumb.p

post-52670-0-26159400-1305315234_thumb.p

post-52670-0-26159400-1305315234_thumb.p

post-52670-0-26159400-1305315234_thumb.p

Posté(e)

Ah désolée, les voilà:

post-52670-0-88179800-1305315679_thumb.p

post-52670-0-49473600-1305315692_thumb.p

Le reste doit être faux alors?

En relisant AJ, je pense qu'à la fin c'est plutôt aV(13)/3 non?

EDIT: et AI = 3a/2 ?

post-52670-0-88179800-1305315679_thumb.p

post-52670-0-49473600-1305315692_thumb.p

post-52670-0-88179800-1305315679_thumb.p

post-52670-0-49473600-1305315692_thumb.p

post-52670-0-88179800-1305315679_thumb.p

post-52670-0-49473600-1305315692_thumb.p

post-52670-0-88179800-1305315679_thumb.p

post-52670-0-49473600-1305315692_thumb.p

post-52670-0-88179800-1305315679_thumb.p

post-52670-0-49473600-1305315692_thumb.p

post-52670-0-88179800-1305315679_thumb.p

post-52670-0-49473600-1305315692_thumb.p

post-52670-0-88179800-1305315679_thumb.p

post-52670-0-49473600-1305315692_thumb.p

post-52670-0-88179800-1305315679_thumb.p

post-52670-0-49473600-1305315692_thumb.p

post-52670-0-88179800-1305315679_thumb.p

post-52670-0-49473600-1305315692_thumb.p

post-52670-0-88179800-1305315679_thumb.p

post-52670-0-49473600-1305315692_thumb.p

post-52670-0-88179800-1305315679_thumb.p

post-52670-0-49473600-1305315692_thumb.p

Archivé

Ce sujet est désormais archivé et ne peut plus recevoir de nouvelles réponses.

×
×
  • Créer...
spam filtering
spam filtering