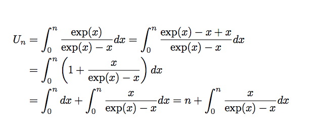
suzu-100 Posté(e) le 22 avril 2010 Signaler Posté(e) le 22 avril 2010 On a Un= intégrale de 0 à n de f(x) ----- f(x) = ex/(ex-x) = 1/(1-xe-x) Que représente Un géométriquement ? Est-ce que f(x) = 1+(x/(ex-x)) ? Montrer que pour tout entier naturel n, Un= n+ ( intégrale de 0 à n de f(x) ) Merci de m'aider.
E-Bahut elp Posté(e) le 22 avril 2010 E-Bahut Signaler Posté(e) le 22 avril 2010 On a Un= intégrale de 0 à n de f(x) ----- f(x) = ex/(ex-x) = 1/(1-xe-x) Que représente Un géométriquement ? Que penses-tu de l'aire de la partie du plan située entre la courbe représentant f , l'axe des abscisses, l'axe des ordonnées et la droite prallèle à l'axe des ordonnées d'équation x=n Est-ce que f(x) = 1+(x/(ex-x)) ? 1=(e^x-x)/(e^x-x) donc 1+(x/(ex-x)) =[(ex-x)+x]/(ex-x) dc est bien égal à f(x) Montrer que pour tout entier naturel n, Un= n+ ( intégrale de 0 à n de f(x) ) D'après ce qui précède c'est U(n)=n+int de 0 à n de x/(ex-x) Merci de m'aider.
suzu-100 Posté(e) le 24 avril 2010 Auteur Signaler Posté(e) le 24 avril 2010 Merci beaucoup! Mais j'arrive pas à montrer que Un= n + int de 0 à n de x/(ex-x) dx !
E-Bahut Barbidoux Posté(e) le 24 avril 2010 E-Bahut Signaler Posté(e) le 24 avril 2010 En absence d'elp...
Messages recommandés
Archivé
Ce sujet est désormais archivé et ne peut plus recevoir de nouvelles réponses.