Aller au contenu

Exercice sur les matrices


JeuneEtudiant

Messages recommandés

Posté(e)

Bonjour,

je rencontre quelques difficultés sur ce problème :

En économie, les grandes entreprises industrielles dépendent les unes des autres. On construit un modèle simplifié d’inter-échange en considérant trois industries : l’industrie de l’énergie, celle des transports et celle de la construction.

L’industrie de l’énergie regroupe les grandes compagnies pétrolières, les compagnies d’électricité, etc… ; celle des transports regroupe les compagnies de fret, de location de voitures et camions, etc.. ; celle de la construction regroupe les grands groupes du bâtiment publique, les entreprises artisanales, etc…

L’observation des échanges entre ces trois industries au Canada, pendant une période d’un an donne les chiffres suivants :

En ce qui concerne les sommes produites par le secteur de la construction, 10 % de ces sommes serve à son propre fonctionnement, la demande du secteur du transport en construction représente 40 % des sommes produites par le transport, la demande du secteur de l’énergie en construction représente 20 % des sommes produites par l’énergie.

En ce qui concerne les sommes produites par le secteur du transport, la demande de la construction en transport est de 20 % des sommes prroduites par la construction, 30 % des sommes produites par le transport serve à son propre fonctionnement, la demande du secteur de l’énergie en transport est de 10 % des sommes produites par l’énergie.

Finalement, en ce qui concerne les sommes produites par le secteur de l’énergie, la demande de la construction en énergie représente 40 % des sommes produites par la construction, la demande du secteur du transport en énergie représente 30 % des sommes produites par le transport, 20 % des sommes produites par l’énergie serve à son propre fonctionnement.

De plus, la population a une demande fixe de 70 milliards de dollars pour le domaine de la construction, 50 milliards pour le domaine du transport et 90 milliards pour le domaine de l’énergie.

On suppose que l’on est dans une économie fermée, c’est-à-dire sans échange avec l’extérieur. Les différents secteurs industriels du pays considérés ont une offre pour leur propre fonctionnement et pour répondre à la demande des deux autres secteurs et des consommateurs. On suppose qu’il n’y a donc pas d’autres échanges.

Notre problème est de déterminer le niveau de production de chacune des industries pour permettre d’atteindre un équilibre entre l’offre et la demande.

Partie 1

Modélisation

On note x la production du secteur de la construction en milliards de dollars, y celle du secteur des transports et z celle du secteur de l’énergie.

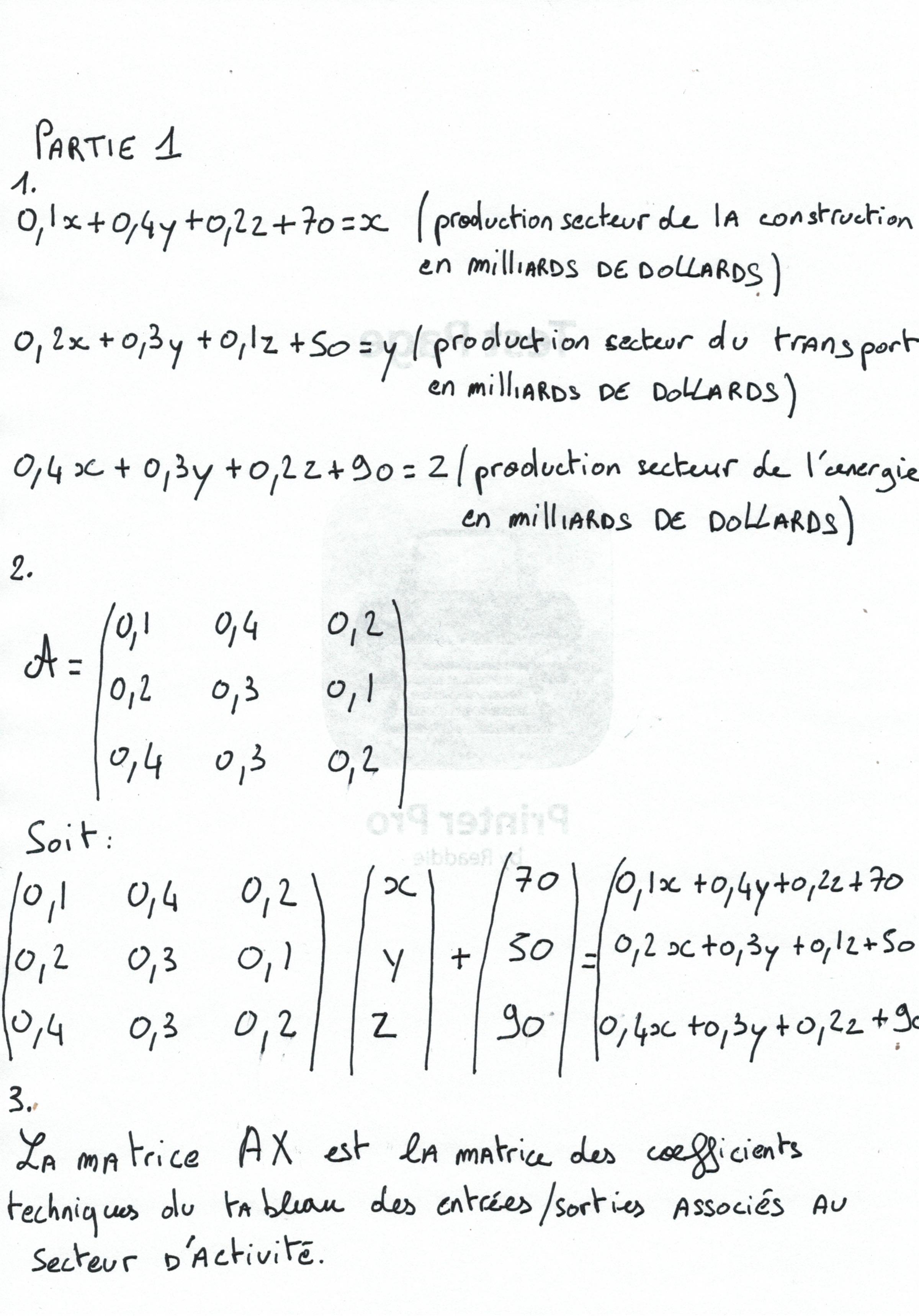
1. Expliquer ce que représente l’équation suivante :

0,1 x + 0,4 y + 0,2 z + 70 = x.

Écrire des équations analogues pour le secteur des transports et celui de l’énergie.

2. Montrer que le système obtenu s’écrit sous forme matricielle AX + D = X avec

X = (x)

       (y)

       (z)

D= (70)

      (50)

      (90)

et A une matrice carrée dont on donnera les coefficients.

3. Interpréter le vecteur AX en terme économique.

La matrice A est appelée matrice des coefficients techniques du tableau des entrées sorties.

4. Montrer que résoudre l’équation AX + D = X est équivalent à résoudre l’équation (I – A) X = D où I est la matrice identité d’ordre 3 :

I = (1 0 0)

     (0 1 0)

     (0 0 1)

Partie 2

Résolution

1. On pose L = I – A.

Donner la matrice L , puis résoudre avec la méthode de Gauss le système LX = D.

La matrice L s’appelle la matrice de Leontief (Économiste américain, prix nobel d’économie en 1973).

2. À l’aide de la calculatrice, déterminer l’inverse de L puis retrouver les résultats de la question précédente.

3. Quelle doit être la production de chaque secteur industriel pour obtenir l’équilibre entre l’offre et la demande ? Arrondir au dixième de milliards de dollars.

Voilà ce que j’ai fait au brouillon :

 

PS : (désolé pour l’affichage des matrices, je ne savais pas comment les écrire correctement sur le forum..)
Merci d’avance.

B6521AFC-8BBD-429A-9009-50EE47BFED75.jpeg

5531DB37-AF0B-4211-9284-424F4171DCD8.jpeg

D4130F38-32E5-4F33-ADDE-65F9077E15B7.jpeg

Posté(e)

Merci beaucoup Barbidoux,

il faut maintenant que je travaille pour comprendre la correction :).

Petite précision, je suppose du coup, que ce que j’avais écris en Partie 1 était juste. Cependant, la réponse 4 de la Partie 1doit certainement être incomplète.
Pourriez-vous m’aider pour celle-ci ?

Archivé

Ce sujet est désormais archivé et ne peut plus recevoir de nouvelles réponses.

×
×
  • Créer...
spam filtering
spam filtering