HelpD Posté(e) le 14 avril 2020 Signaler Posté(e) le 14 avril 2020 Bonjour, Je ne comprends pas grand choses en maths est-ce que l'ont pourrait m'aider et m'expliquer s'il vous plait ? merci
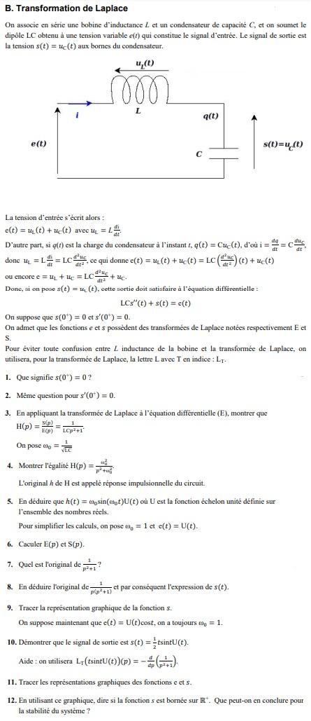
E-Bahut julesx Posté(e) le 14 avril 2020 E-Bahut Signaler Posté(e) le 14 avril 2020 Bonjour, Je regarde l'exercice sur la transformée de Laplace. 1) s(0+)=0 signifie que la sortie est nulle à l'instant initial. 2) s'(0+)=0 signifie que la dérivée de la sortie est nulle à l'instant initial. 3) Vu que les valeurs initiales sont nulles, on a simplement LT(s''(t))=p²*S(p) (voir cours). La transformée de l'équation différentielle LCs"(t)+s(t)=e(t) est donc LCp²S(p)+S(p)=E(p) d'où H(p)=S(p)/E(p)=1/(LCp²+1) 4) ω0 =1/√(LC) => H(p)=1/(p²/ω0²+1)=ω0²/(p²+ω0²) 5) Cf. table des transformées ω0/(p²+ω0²) -> sin(ω0t)*U(t) donc ω0²/(p²+ω0²) -> ω0*sin(ω0t)*U(t) 6) Cf. table, E(p)=1/p => S(p)=1/p*1/(p²+1)=1/[p*(p²+1)] 7) Cf 5) avec ω0=1, l'original est sin(t). 8)) 1/[p*(p²+1)] est la transformée de Laplace de la primitive correspondant à 1/(p²+1) qui s'annule en 0. Les primitives de sin(t) sont -cos(t)+K, celle qui s'annule en 0 est obtenue pour K=1, d'où l'original de 1/[p*(p²+1)] =1-cos(t). 9) Je te laisse faire pour les tracés. 10) Cf. table, la transformée de cos(t)*U(t) est p/(p²+1) => S(p)=p/(p²+1)². LT(tsin(t)U(t))(p)=-d/dp(1/p²+1)=2p/(p²+1)² => p/(p²+1)² a pour original 1/2*t*sin(t)*U(t) 11) Idem pour le tracé 12) Pour moi, comme 1/2*t*sin(t)*U(t) tend vers l'infini avec t, la fonction n'est pas bornée sur R+, donc le système est instable. Mais tu as le droit d'avoir une autre opinion.
E-Bahut julesx Posté(e) le 14 avril 2020 E-Bahut Signaler Posté(e) le 14 avril 2020 De temps en temps, je me demande pourquoi je m'enquiquine à poster des réponses détaillées. Je ne demande pas des remerciements, mais simplement un mot pour dire si mon post a servi à quelque chose.
HelpD Posté(e) le 15 avril 2020 Auteur Signaler Posté(e) le 15 avril 2020 Il y a 12 heures, julesx a dit : Bonjour, Je viens de voir la réponse , j'ai une question qu'est-ce cf. table ect... ?
E-Bahut julesx Posté(e) le 15 avril 2020 E-Bahut Signaler Posté(e) le 15 avril 2020 Cf. table des transformées de Laplace, je ne voulais pas réécrire cela en entier ! N.B. : Je pense qu'il vaut mieux que tu ouvres un nouveau fil avec ton exercice sur les séries de Fourier. Essaie aussi d'améliorer la photo de l'exercice, il y a des choses qui sont difficilement lisibles, en particulier vers la fin.
HelpD Posté(e) le 16 avril 2020 Auteur Signaler Posté(e) le 16 avril 2020 Il y a 21 heures, julesx a dit : D'accord, merci d'avoir pu m'aider et mieux comprendre !
E-Bahut julesx Posté(e) le 16 avril 2020 E-Bahut Signaler Posté(e) le 16 avril 2020 De rien, bonne continuation.
Messages recommandés
Archivé
Ce sujet est désormais archivé et ne peut plus recevoir de nouvelles réponses.