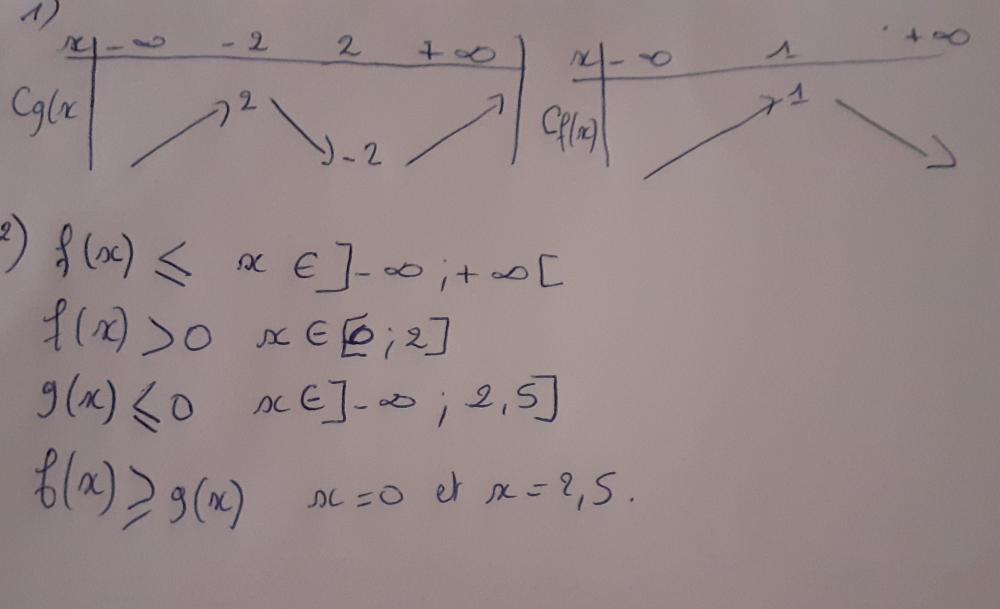
Jacques Posté(e) le 20 janvier 2020 Signaler Posté(e) le 20 janvier 2020 Bonjour.je réitère ma demande svp. Si les réponses de mon exercice sont correctes je vous remercie d avance
anylor Posté(e) le 20 janvier 2020 Signaler Posté(e) le 20 janvier 2020 bonjour, Il ne faut pas faire de double post, mais attendre qu'un intervenant te réponde. je t'ai répondu sur ton 1er post. si tu as des questions, retourne sur la page : https://www.e-bahut.com/topic/54530-graphique-variations/
Messages recommandés
Archivé
Ce sujet est désormais archivé et ne peut plus recevoir de nouvelles réponses.