leabeut10 Posté(e) le 17 décembre 2019 Signaler Posté(e) le 17 décembre 2019 bonsoir, j'ai eu un DM de mathematiques mais je n'y arrive absolument pas donc pouvait vous m'aider? s'il vous plait merci d'avance .
E-Bahut pzorba75 Posté(e) le 17 décembre 2019 E-Bahut Signaler Posté(e) le 17 décembre 2019 Tu attends qu'on fasse tes devoirs à ta place? Dis toi que le forum n'est pas un robot et seulement un forum d'aide...qui marche si tu montres ton travail.
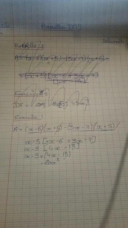
leabeut10 Posté(e) le 17 décembre 2019 Auteur Signaler Posté(e) le 17 décembre 2019 il y a 20 minutes, pzorba75 a dit : Tu attends qu'on fasse tes devoirs à ta place? Dis toi que le forum n'est pas un robot et seulement un forum d'aide...qui marche si tu montres ton travail. je n'attends pas que vous faisiez mon devoir a ma place , mais que vous m'aidiez a comprendre et a le réaliser . mes notes ne sont pas immense mais j'ai fait du mieux que j'ai pu. j'ai passer toute mon après midi dessus sans trouver une seule réponses . personne ne pouvant m'aider je me suis décider a venir vers vous pour de l'aide . merci d'avance pour une éventuelle aide de votre part.
E-Bahut pzorba75 Posté(e) le 18 décembre 2019 E-Bahut Signaler Posté(e) le 18 décembre 2019 Il y a 10 heures, leabeut10 a dit : je n'attends pas que vous faisiez mon devoir a ma place , mais que vous m'aidiez a comprendre et a le réaliser . mes notes ne sont pas immense mais j'ai fait du mieux que j'ai pu. j'ai passer toute mon après midi dessus sans trouver une seule réponses . personne ne pouvant m'aider je me suis décider a venir vers vous pour de l'aide . merci d'avance pour une éventuelle aide de votre part. Factoriser, cela signifie : A=(x-6)(x+5)-(3x-7)(x+5) =(x+5)[x-6-(3x-7)) =(x+5)(x-6-3x+7) =(x+5)(-2x+1) A=-(x+5)(2x-1) bien éloigne de ton gribouillage. B=x2-9, il faut penser identité remarquable a2-b2=(a-b)(a+b), c'est-à-dire trouver a, et b. Niveau 3ème des collèges. Autre remarquable : arrête tes photos toutes "crades" et tape ton travail au clavier, c'est aussi facile que te servir de ton téléphone.
Messages recommandés
Archivé
Ce sujet est désormais archivé et ne peut plus recevoir de nouvelles réponses.