FelicitySevilla59 Posté(e) le 3 décembre 2019 Signaler Posté(e) le 3 décembre 2019 Bonjour est-ce que quelqu’un pourrait m’aider pour un devoir maison de mathématique svp merci
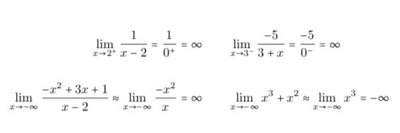
E-Bahut Barbidoux Posté(e) le 3 décembre 2019 E-Bahut Signaler Posté(e) le 3 décembre 2019 Pas de difficultés particulière pour calculer ces limites par exemple .... dis nous celles qui te posent un problème.
Messages recommandés
Archivé
Ce sujet est désormais archivé et ne peut plus recevoir de nouvelles réponses.