Aller au contenu

Dérivées partielles et différentielle de f


Ch00Ch00

Messages recommandés

Posté(e)

Bonjour, 

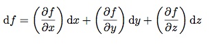
Dans cet exercice, je n'ai pas compris à la question " la différentielle de f .

Est ce: (drond f / drond x)*dx + (drond f / drondy)*dy + (drond f / drong z)*dz ? 

23561354_1496512777128542_5824734798128557590_n.jpg.e4741ddac120240642e6b8f878c34aaf.jpg

 

Merci beaucoup, 

Archivé

Ce sujet est désormais archivé et ne peut plus recevoir de nouvelles réponses.

×
×
  • Créer...
spam filtering
spam filtering