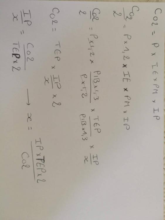
Claradrt Posté(e) le 23 septembre 2017 Signaler Posté(e) le 23 septembre 2017 On Considere l'equation de Kaya : Co²= P*(PIB/P)¨(TEP/PIB)*(CO2/TEP) Co² = production mondiale de Co² P= la population mondiale . Pib = le produit interieur brut mondial Tep= la production d'energie 1. Démontrer cette équation . --->J'ai tout simplifié et j'arrive à CO2=CO2 2. Identifier dans l'equation les 3 grandeurs suivantes : l'intensité énergetique de la production . ( notée I E) La production moyenne par habitant ( notée P M) L'intensité de production de Co² par unité d'energie produite ( notée I P) ---> IE=TEP/PIB ---> PM= PIB/POP ---> IP = CO2/TEP 3. exprimer Co² en fonction de I E , P M , I P , et P a) en deduire I E en fonction de C0² , P M , I P et P b) En deduire P en fonction de C0² , P M, I P et P a --> j'arrive à CO2=IE*PM*IP*P donc IE = CO2/(PM*IP*P) b ---> IP = CO2/(IE*PM*P) 4) dans les 20 ans a venir , on souhaite diviser par 2 la production de Co² , par ailleurs : on suppose qu'il y aura une croissance de la population de 20% On suppose qu'il y aura une croissance du PIB de 30% a) si l'on suppose qu'on ne peut diminuer IE , par combien faudra t-il diviser I P ,cela représente une diminuation de combien , en % ? b) meme question si on suppose qu'on pourra diviser I E par 2 . a) ---> PIB dans 20 ans = PIB*1,3 et P dans 20 ans = 1,2 je vous met en photo ce que j'ai fait, je suis complètement bloquée je ne sait pas du tout comment m'y prendre Donc j'ai besoin d'aide pour vérifier mes réponses précédentes ainsi qu'une grosse aide pour la question 4, merci d'avance !
E-Bahut julesx Posté(e) le 24 septembre 2017 E-Bahut Signaler Posté(e) le 24 septembre 2017 Je ne suis pas spécialiste, donc je peux juste intervenir sur les aspects mathématiques de la question 4. Moi, je procèderais ainsi. Pour bien voir ce qu'on fait, je note différemment les nouvelles valeurs des grandeurs, par un "prime" ici. a) On part de IP=CO2/(P*IE*PM) Comme c'est PIB qui change, autant remplacer PM par PIB/P, d'où la relation modifiée IP=CO2/(IE*PIB). On a de même IP'=CO2'/(IE'*PIB') avec CO2'=CO2/2 IE'=IE (puisque inchangé) PIB'=1,3*PIB. qui, remplacé dans IP', donne IP'=(CO2/2)/(IE*1,3*PIB) soit IP'=1/(2*1,3)*[CO2/(IE*PIB)] où on retrouve la valeur initiale IP (c'était le but !) Il vient de ce fait IP'=IP/2,6. IP doit donc être divisé par 2,6, soit réduit de 62% en arrondissant à l'unité. Je te laisse faire la même démarche pour le b), sachant, qu'en plus, maintenant on a IE'=IE/2. )
Rythem26 Posté(e) le 24 septembre 2017 Signaler Posté(e) le 24 septembre 2017 Le 23/09/2017 at 14:41, Claradrt a dit : Donc j'ai besoin d'aide pour vérifier mes réponses précédentes ainsi qu'une grosse aide pour la question 4, merci d'avance ! Bonsoir, C'est juste un jeu avec les notations et l'interprétation Pour te guider : Q1 : Simplifier la définition chaque fois qu'une grandeur apparait au numérateur et au dénominateur... on aboutit à un résultat évident. Q2 : Tu as trois ratios dans la formule. Cherche pour chacun quel indice lui correspond le mieux parmi IE, PM et IP Il suffit de réfléchir un tout petit peu au sens des mots Q3 : Une fois que tu as les fractions de la formule qui correspondent aux indices... ... tu remplaces simplement terme à terme. Ensuite tu résous pour obtenir IE, puis idem avec P. Q4 : Injecter les hypothèses de croissance dans l'équation. Un simple calcul permet ensuite de répondre à la question. Sa devrait vous aider
Rythem26 Posté(e) le 24 septembre 2017 Signaler Posté(e) le 24 septembre 2017 Je vais developper pour la 4: il faut commencer par introduire les quantités IP', P', PM', IE', PIB' et CO2' dans 20 ans. Comme ça tu as des groupes de quantité : - IP, P, PM, IE, PIB et CO2 pour aujourd'hui - IP', P', PM', IE', PIB' et CO2' pour dans 20 ans Comme l'équation de Kaya est vrai tout le temps, on peut l'écrire pour IP, P, PM, IE, PIB et CO2, mais aussi pour IP', P', PM', IE', PIB' et CO2'.Ensuite utilise les données de l'énoncé pour trouver un lien entre IP et IP', par exemple quand on dit que le PIB va croitre de 30% dans 20 ans, ça veut dire PIB' = 1,3*PIB.
Messages recommandés
Archivé
Ce sujet est désormais archivé et ne peut plus recevoir de nouvelles réponses.