Aller au contenu

Théorème des valeurs intermédiaires / Théorème de Rolle / Suite adjacentes


Ch00Ch00

Messages recommandés

Posté(e)

Bonsoir,

58a21156a9094_Capturedcran2017-02-1321_00_28.png.55f1c8c7d1de34f6533353cbf2acbd4b.png

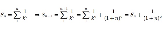
Pour montrer qu'une suite adjecente, elles sont dites adjecentes si (Sn) est décroissante et (S'n) est croissante et lim (Sn - S'n) = 0.

Je suis bloqué avec la somme. Je ne vois pas comment calculer avec le signe sigma. 

58a9c3cbf1ac1_Capturedcran2017-02-1916_41_02.png.a46cf9aa712d885b257c24dbe3bb9906.png

Mon professeur m'a donné comme indice, il faut utiliser le théorème de Rolle. 

58a9c3d77904b_Capturedcran2017-02-1917_05_09.thumb.png.de50cf2ff2d9e2d5644eca7e0395a00b.png

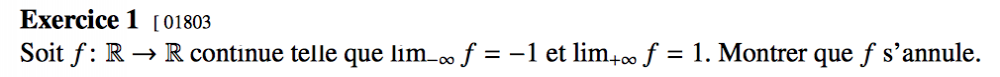
Mon professeur m'a donné comme indice, le théorème des valeurs intermédiaires.

 

 

 

Merci d'avance pour vos aides, je voudrais seulement des pistes s'il vous plait.

 

 

 

  • E-Bahut
Posté(e)
il y a 19 minutes, Ch00Ch00 a dit :

 

58a21156a9094_Capturedcran2017-02-1321_00_28.png.55f1c8c7d1de34f6533353cbf2acbd4b.png

Pour montrer qu'une suite adjecente, elles sont dites adjecentes si (Sn) est décroissante et (S'n) est croissante et lim (Sn - S'n) = 0.

Je suis bloqué avec la somme. Je ne vois pas comment calculer avec le signe sigma. 

Sn+1-Sn =1/(n+1)^2 >0  ==> Sn croissante puis S'n+1-S'n<0 ==> S'n décroissante puis lim S'n-Sn=1/n ->0

58a9c3cbf1ac1_Capturedcran2017-02-1916_41_02.png.a46cf9aa712d885b257c24dbe3bb9906.png

Mon professeur m'a donné comme indice, il faut utiliser le théorème de Rolle. 

si f est périodique de période T alors f(a)=f(a+T) ==> Thèorème de Rolle donc il existe c appartenant à [a; a +T] tel que f'(c)=0 et comme f'( ne s'annule pas donc f ne peut pas être périodique

58a9c3d77904b_Capturedcran2017-02-1917_05_09.thumb.png.de50cf2ff2d9e2d5644eca7e0395a00b.png

Mon professeur m'a donné comme indice, le théorème des valeurs intermédiaires.

TVI Si une fonction f est continue et qu'il existe un intervalle [a, b] pour lequel f(a)*f(b)<0 alors le graphe de f coupe l'axes des abscisses en au moins un point solution de f(x)=0.

 

Posté(e)
il y a 3 minutes, Barbidoux a dit :

 

Bonsoir Barbidoux,

Merci pour votre aide,

Mais je ne comprend pas comment calculer avec le signe sigma pour la suite adjacente.

Merci pour votre aide,

 

Archivé

Ce sujet est désormais archivé et ne peut plus recevoir de nouvelles réponses.

×
×
  • Créer...
spam filtering
spam filtering