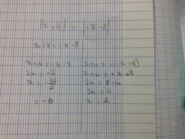
redhead Posté(e) le 28 janvier 2016 Signaler Posté(e) le 28 janvier 2016 Bonjour j'ai des exercices à faire que je n'arrive pas à faire j'ai fait des recherches je vais vous indiquer le résultat Merci de m'aider Exercice 1 Déterminer un encadrement de A = √1/2x-3 sachant que x appartient à l'intervalle [7;10[ Je peux faire que ça 7<x<10 ( inférieur ou égal pour le premier) Exercice 2 Résoudre |x+4| = |-x-8| je trouve S={2} Exercice 3 Résoudre √x^2-6x =4 je trouve S={3-√10 ; 3+√10} Voilà merci de m'aider
E-Bahut pzorba75 Posté(e) le 28 janvier 2016 E-Bahut Signaler Posté(e) le 28 janvier 2016 Pour l'exercice 2 |a|=a si a>=0 ou |a|=-a si a<0. Tu appliques cette propriété en considérant les intervalles adéquats pour retirer les | | dans chacun des membres de l'équation à résoudre. Au travail.
redhead Posté(e) le 28 janvier 2016 Auteur Signaler Posté(e) le 28 janvier 2016 Il n'y a pas de solutions ?
E-Bahut pzorba75 Posté(e) le 28 janvier 2016 E-Bahut Signaler Posté(e) le 28 janvier 2016 Je t'ai indiqué la méthode. Supprimer intervalle par intervalle les valeurs absolues de l'équation pour obtenir une nouvelle équation facile à résoudre. Par exemple |x+4| =x+4 si x>=-4 ou |x+4| =-x-4 si x<-4.
E-Bahut pzorba75 Posté(e) le 28 janvier 2016 E-Bahut Signaler Posté(e) le 28 janvier 2016 Je ne corrige pas les pièces jointes manuscrites, trop pénibles à lire. Les réponses peuvent être saisies au clavier sans trop de difficultés
Messages recommandés
Archivé
Ce sujet est désormais archivé et ne peut plus recevoir de nouvelles réponses.