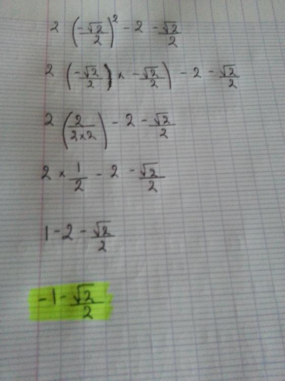
E-Bahut Boltzmann_Solver Posté(e) le 27 décembre 2015 E-Bahut Signaler Posté(e) le 27 décembre 2015 Tu as une faute dès la première ligne, la vois tu ?
E-Bahut Boltzmann_Solver Posté(e) le 27 décembre 2015 E-Bahut Signaler Posté(e) le 27 décembre 2015 il y a 1 minute, panquerice1344 a dit : Il reste un * qui est devenu un - par magie !!!! 2*x, ce n'est pas la même chose que 2+x
panquerice1344 Posté(e) le 27 décembre 2015 Auteur Signaler Posté(e) le 27 décembre 2015 sur la ligne 2 ?
E-Bahut Boltzmann_Solver Posté(e) le 27 décembre 2015 E-Bahut Signaler Posté(e) le 27 décembre 2015 il y a 2 minutes, panquerice1344 a dit : sur la ligne 2 ? Et sur la première ligne également. Quand tu as un signe moins, tu dois toujours mettre des parenthèses pour prévenir cette erreur. Ex : 2*(-1) = -1.
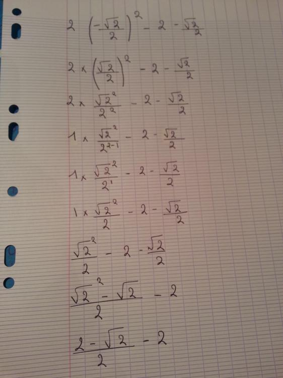
E-Bahut Boltzmann_Solver Posté(e) le 28 décembre 2015 E-Bahut Signaler Posté(e) le 28 décembre 2015 Tu as fait la même erreur.
Messages recommandés
Archivé
Ce sujet est désormais archivé et ne peut plus recevoir de nouvelles réponses.