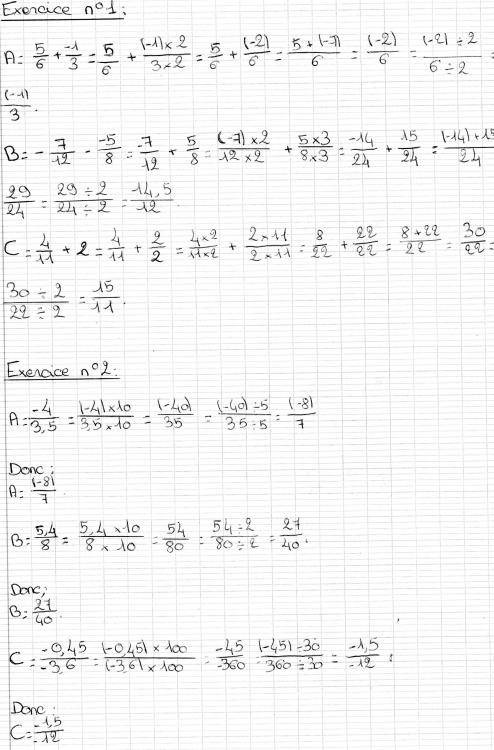
francoise 63 Posté(e) le 26 décembre 2015 Signaler Posté(e) le 26 décembre 2015 Bonjour, Pouvez-vous me dire si mes exercices sont corrects s'il vous plaît ? Merci d'avance.
francoise 63 Posté(e) le 26 décembre 2015 Auteur Signaler Posté(e) le 26 décembre 2015 merci beaucoup Bardidoux bonne soirée
Messages recommandés
Archivé
Ce sujet est désormais archivé et ne peut plus recevoir de nouvelles réponses.