Aller au contenu

Limite en +oo de la fonction f


Ch00Ch00

Messages recommandés

Posté(e)

Bonjour/Bonsoir

J'ai un DM à faire pour mercredi.

Voici le sujet:

Calculez, suivant les valeurs du nombre a, la limite en +oo de la fonction f définie par:

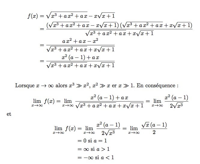
f(x) = V(x^3 + ax^2 + ax) - xV(x + 1)

*V() = racine carré

Je n'arrive pas à le faire, je trouve que des formes indéterminés. J'ai utilisé la relation conjugué. 

Mon travail: 

lim V(x^3 + ax^2 + ax) = +oo 

                                                                                                                                n +oo

lim -xV(x + 1) = -oo

Par composition, on obtient une forme indéterminer +oo -oo

Dans le cas de a>0 

Utilisation de la relation conjugué mais je retrouve avec une forme indeterminé, est-ce normal ? 

Merci de bien vouloir m'aider.

Posté(e)

Bonjour Barbidoux,

- Pourriez vous m'expliquer: '' Lorsque x -> oo avec a différent 1 alors x^3 > x^2, x^2 > x et x > 1. ''

                                              '' Lorsque x -> oo alors x^3 > x^2, x^2 > x et x > 1. '' 

Ce que j'ai écrit :  ''lim V(x^3 + ax^2 + ax) = +oo 

                             n +oo

lim -xV(x + 1) = -oo '' 

Par composition, on obtient une forme indéterminer +oo -oo '' Est-ce bon ? 

 

Merci pour votre réponse, 

Ch00Ch00

 

  • E-Bahut
Posté(e)

Dans la recherche de limite on utilise souvent les croissances comparées des fonctions. Lorsque x-> ∞ x^2 croit beaucoup plus vite que x donc lim (x^2+x) =(lim x^2) etc... donc la limite de √(x^3+a*x^2+a*x est égale à a limite de √x^3=x^(3/2)..  pour ce qui est du dénominateur et lorsque a≠ 1 la limite de x^2*(a-1)+a*x est identique à celle de  x^2*(a-1) ce qui fat que la limite de f(x) est celle de x^2*(a-1)/x^(3/2)=x^(1/2)*(a-1) qui vaut ∞ si a>1 et -∞ si a<1

Archivé

Ce sujet est désormais archivé et ne peut plus recevoir de nouvelles réponses.

×
×
  • Créer...
spam filtering
spam filtering