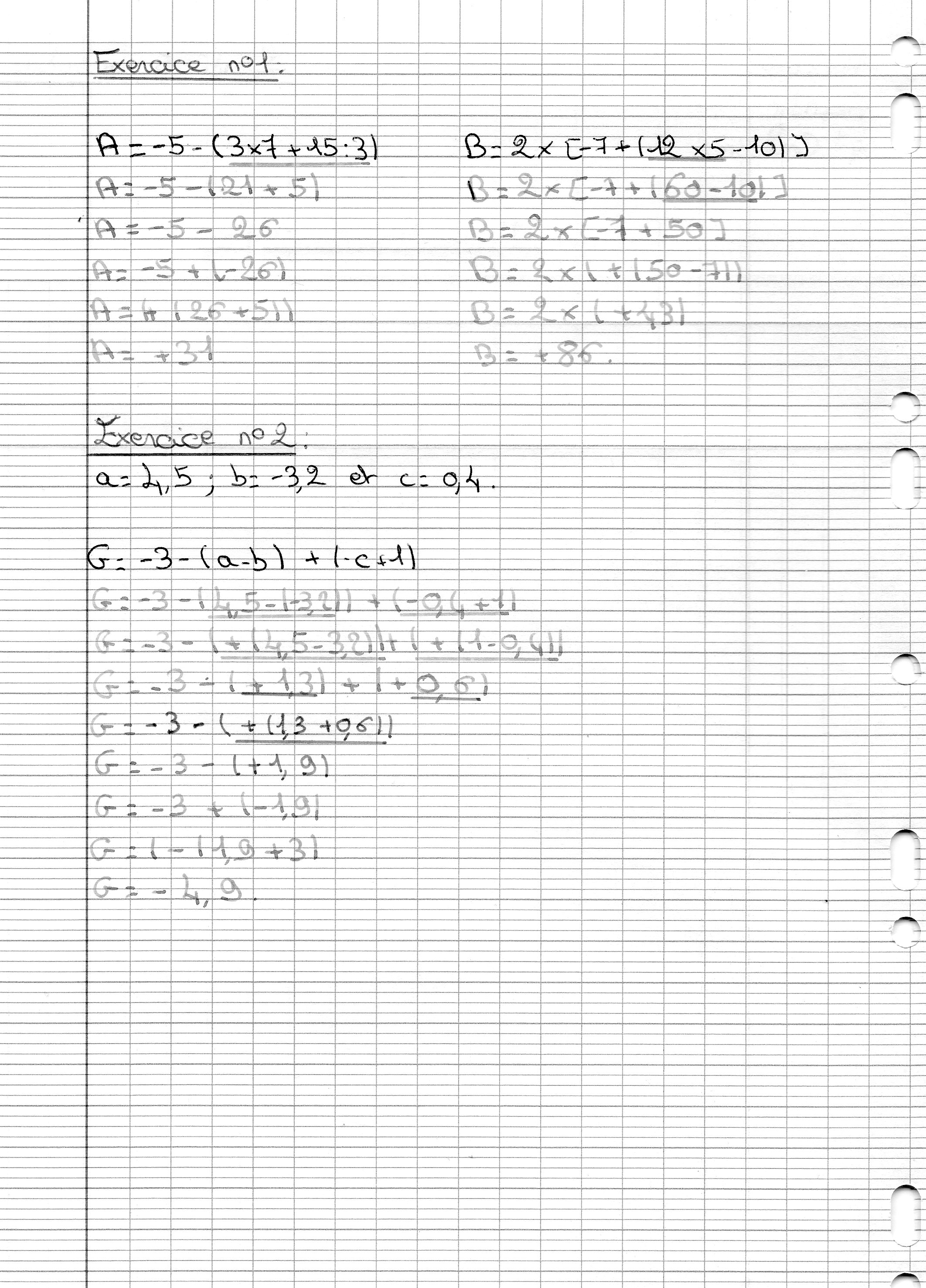
francoise 63 Posté(e) le 30 septembre 2015 Signaler Posté(e) le 30 septembre 2015 Bonjour, Pouvez-vous corriger les exercices de mon DM s'il vous plaît car j'ai un doute sur les résultats, Merci d'avance.
francoise 63 Posté(e) le 30 septembre 2015 Auteur Signaler Posté(e) le 30 septembre 2015 merci Barbidoux pouvez vous m expliquez comment vous avez procedé si vous plait car j ai pas compris l exercice merci beaucoup
E-Bahut Barbidoux Posté(e) le 30 septembre 2015 E-Bahut Signaler Posté(e) le 30 septembre 2015 simple application de la règle des signes concernant les produits ou les sommes -*-=+*+=+; -*+=+*-=- et -(- = +(+=+ ; -(+=+(-=-
francoise 63 Posté(e) le 1 octobre 2015 Auteur Signaler Posté(e) le 1 octobre 2015 merci barbidoux pour l explication, j ai compris bonne soirée
Messages recommandés
Archivé
Ce sujet est désormais archivé et ne peut plus recevoir de nouvelles réponses.